电脑桌面
添加小米粒文库到电脑桌面
安装后可以在桌面快捷访问

版高考数学一轮复习 核心考点 精准研析 10.9.2 圆锥曲线中的探究性问题 文(含解析)北师大版-北师大版高三全册数学试题VIP免费

版高考数学一轮复习 核心考点 精准研析 10.9.2 圆锥曲线中的探究性问题 文(含解析)北师大版-北师大版高三全册数学试题_第1页
1/15
版高考数学一轮复习 核心考点 精准研析 10.9.2 圆锥曲线中的探究性问题 文(含解析)北师大版-北师大版高三全册数学试题_第2页
2/15
版高考数学一轮复习 核心考点 精准研析 10.9.2 圆锥曲线中的探究性问题 文(含解析)北师大版-北师大版高三全册数学试题_第3页
3/15
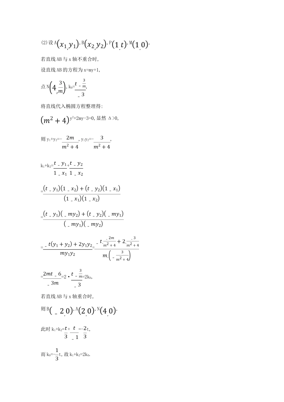
圆锥曲线中的探究性问题核心考点·精准研析考点一探究数量关系【典例】(2020·宜昌模拟)已知椭圆P:+=1(a>b>0)的离心率为,椭圆上的点到左焦点的最小值为2-.世纪金榜导学号(1)求椭圆P的方程.(2)已知直线x=1与x轴交于点M,过点M的直线AB与P交于A、B两点,点P为直线x=1上任意一点,设直线AB与直线x=4交于点N,记PA,PB,PN的斜率分别为k1,k2,k0,则是否存在实数λ,使得k1+k2=λk0恒成立?若是,请求出λ的值;若不是,请说明理由.【解题导思】序号联想解题(1)根据题干条件列出a,b,c的关系求解(2)将直线AB与椭圆P的方程联立,消元后建立两点坐标之间的关系,两点坐标求三个斜率值,代入等式确定实数λ的值【解析】(1)椭圆上的左顶点到左焦点的距离最小为2-=a-c,结合题干条件得到解之得,故椭圆P的方程为:+y2=1.(2)设A,B,P,M,若直线AB与x轴不重合时,设直线AB的方程为x=my+1,点N,k0=,将直线代入椭圆方程整理得:y2+2my-3=0,显然Δ>0,则y1+y2=-,y1y2=-,k1+k2=+======2·=2k0,若直线AB与x轴重合时,则B,A,N,此时k1+k2=+=-t,而k0=-t,故k1+k2=2k0.综上所述,存在实数λ=2符合题意.1.探究性问题求解的思路及策略(1)思路:先假设存在,推证满足条件的结论,若结论正确,则存在;若结论不正确,则不存在.(2)策略:①当条件和结论不唯一时要分类讨论;②当给出结论而要推导出存在的条件时,先假设成立,再推出条件.在这个解题思路指导下解决探索性问题与解决具有明确结论的问题没有什么差别.2.解决存在性问题的一些技巧(1)特殊值(点)法:对于一些复杂的题目,可通过其中的特殊情况,解得所求要素的必要条件,然后再证明求得的要素也使得其他情况均成立.(2)核心变量的选取:因为解决存在性问题的核心在于求出未知要素,所以通常以该要素作为核心变量,其余变量作为辅助变量,必要的时候消去.(3)核心变量的求法:①直接法:利用条件与辅助变量直接表示出所求要素,并进行求解,②间接法:若无法直接求出要素,则可将核心变量参与到条件中,列出关于该变量与辅助变量的方程(组),运用方程思想求解.(2020·广州模拟)已知椭圆E:+=1(a>b>0)的离心率为,且点P在椭圆E上.(1)求椭圆E的方程.(2)过点M(1,1)任作一条直线l,l与椭圆E交于不同于P点的A,B两点,l与直线m:3x+4y-12=0交于C点,记直线PA,PB,PC的斜率分别为k1,k2,k3.试探究k1+k2与k3的关系,并证明你的结论.【解析】(1)因为椭圆E:+=1(a>b>0)的离心率为,所以e==⇒a=2c,因为a2=b2+c2,所以b=c.故可设椭圆E的方程为:+=1,因为点P在椭圆E上,所以将其代入椭圆E的方程得+=1⇒c2=1.所以椭圆E的方程为+=1.(2)依题意,直线l不可能与x轴垂直,故可设直线l的方程为:y-1=k(x-1),即y=kx-k+1,A(x1,y1),B(x2,y2)为l与椭圆E的两个交点.将y=kx-k+1代入方程3x2+4y2-12=0化简得(4k2+3)x2-8(k2-k)x+4k2-8k-8=0.所以x1+x2=,x1x2=.所以k1+k2=+=+=2k-=2k-·=2k-·=,又由⇒3x+4(kx-k+1)-12=0,解得x=,y=,即C点的坐标为,所以k3==.因此,k1+k2与k3的关系为:k1+k2=2k3.考点二探究定点与定值【典例】(2019·成都模拟)已知椭圆C:+=1(a>b>0)的离心率为,直线x+y-1=0被圆x2+y2=b2截得的弦长为.(1)求椭圆C的方程;(2)过点(1,0)的直线l交椭圆C于A,B两点,在x轴上是否存在定点P,使得·为定值?若存在,求出点P的坐标和·的值;若不存在,请说明理由.【解题导思】序号联想解题(1)根据直线和圆的位置关系,转化为圆心到直线的距离与圆的半径的关系,与离心率为联立求a,b.(2)将直线AB与椭圆C的方程联立,建立交点坐标之间的关系.需要注意直线是否与x轴重合的处理.【解析】(1)因为椭圆C的离心率为,所以a=b,因为圆x2+y2=b2的圆心到直线x+y-1=0的距离为d==,所以直线x+y-1=0被圆x2+y2=b2截得的弦长为2=2=.解得b=1,故a=b=,所以椭圆C的方程为+y2=1.(2)设P(t,0),A(x1,y1),B(x2,y2),当直线l与x轴不重合时,设l的方程:x=my+1.由得(m2+2)y2+2my-1=0,所以x1+x2=,x1x2=+1,·=(x1-t,y1)·(x2-t,y2)=x1x2-t(x1+x2)+t2+y1y2=+t2+1=-+t2+1,当=2,即t=时,·的值与m无关,此时·=-.当直线l与x轴重合且t=时,·=·=-2=-.所以存在点P,使得·为定值-.定点与定值的探究性问题,一般采用假设法.首先根据所解决的问题设出参数;然后假设定点存在,定值成立,再根据定点与定值问题的解决方法,列出...

1、当您付费下载文档后,您只拥有了使用权限,并不意味着购买了版权,文档只能用于自身使用,不得用于其他商业用途(如 [转卖]进行直接盈利或[编辑后售卖]进行间接盈利)。
2、本站所有内容均由合作方或网友上传,本站不对文档的完整性、权威性及其观点立场正确性做任何保证或承诺!文档内容仅供研究参考,付费前请自行鉴别。
3、如文档内容存在违规,或者侵犯商业秘密、侵犯著作权等,请点击“违规举报”。

碎片内容

版高考数学一轮复习 核心考点 精准研析 10.9.2 圆锥曲线中的探究性问题 文(含解析)北师大版-北师大版高三全册数学试题

您可能关注的文档

确认删除?
VIP
微信客服
  • 扫码咨询
会员Q群
  • 会员专属群点击这里加入QQ群
客服邮箱
回到顶部