电脑桌面
添加小米粒文库到电脑桌面
安装后可以在桌面快捷访问

高三数学最值例题解析 人教版考试卷VIP免费

高三数学最值例题解析 人教版考试卷_第1页
1/7
高三数学最值例题解析 人教版考试卷_第2页
2/7
高三数学最值例题解析 人教版考试卷_第3页
3/7
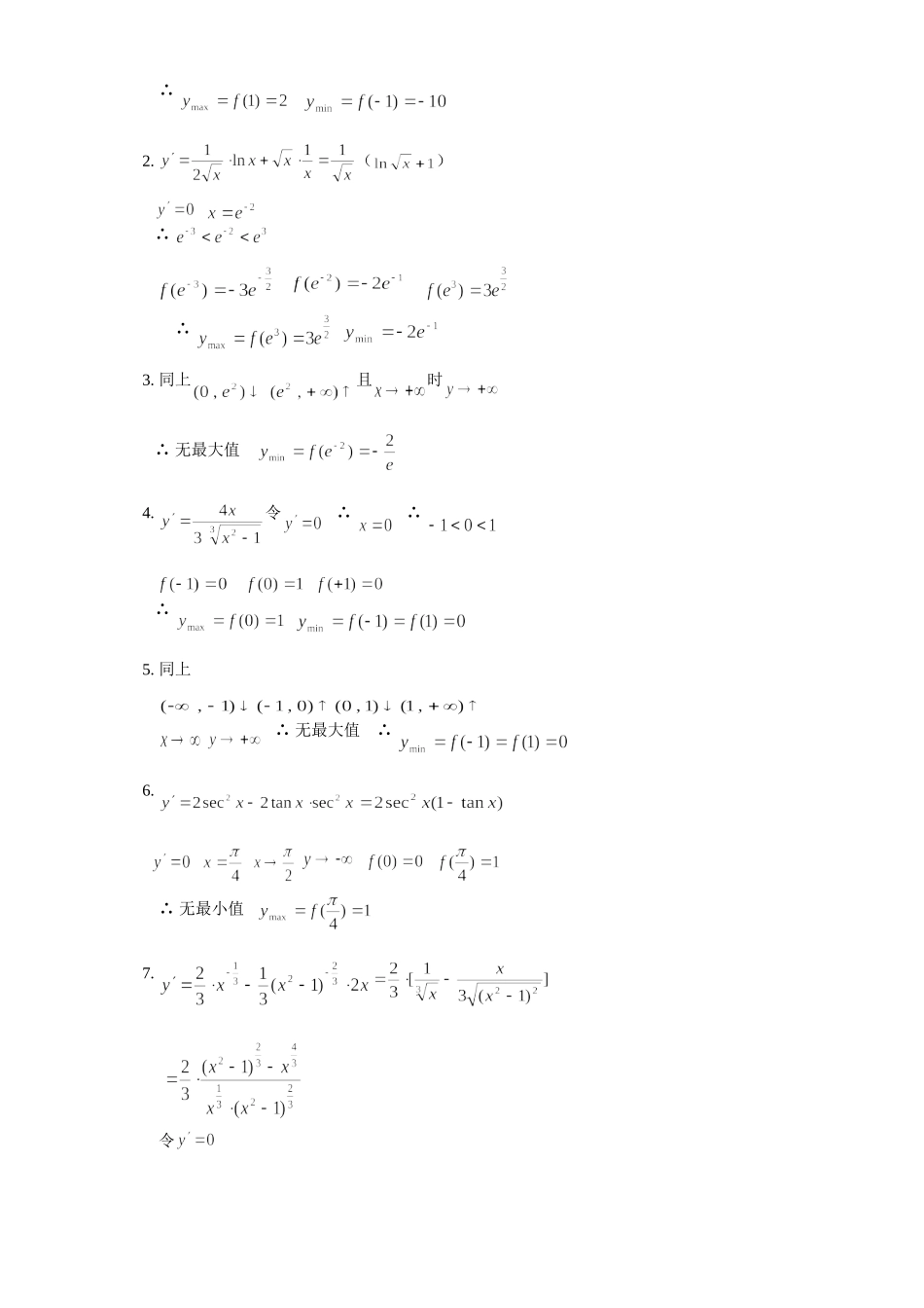
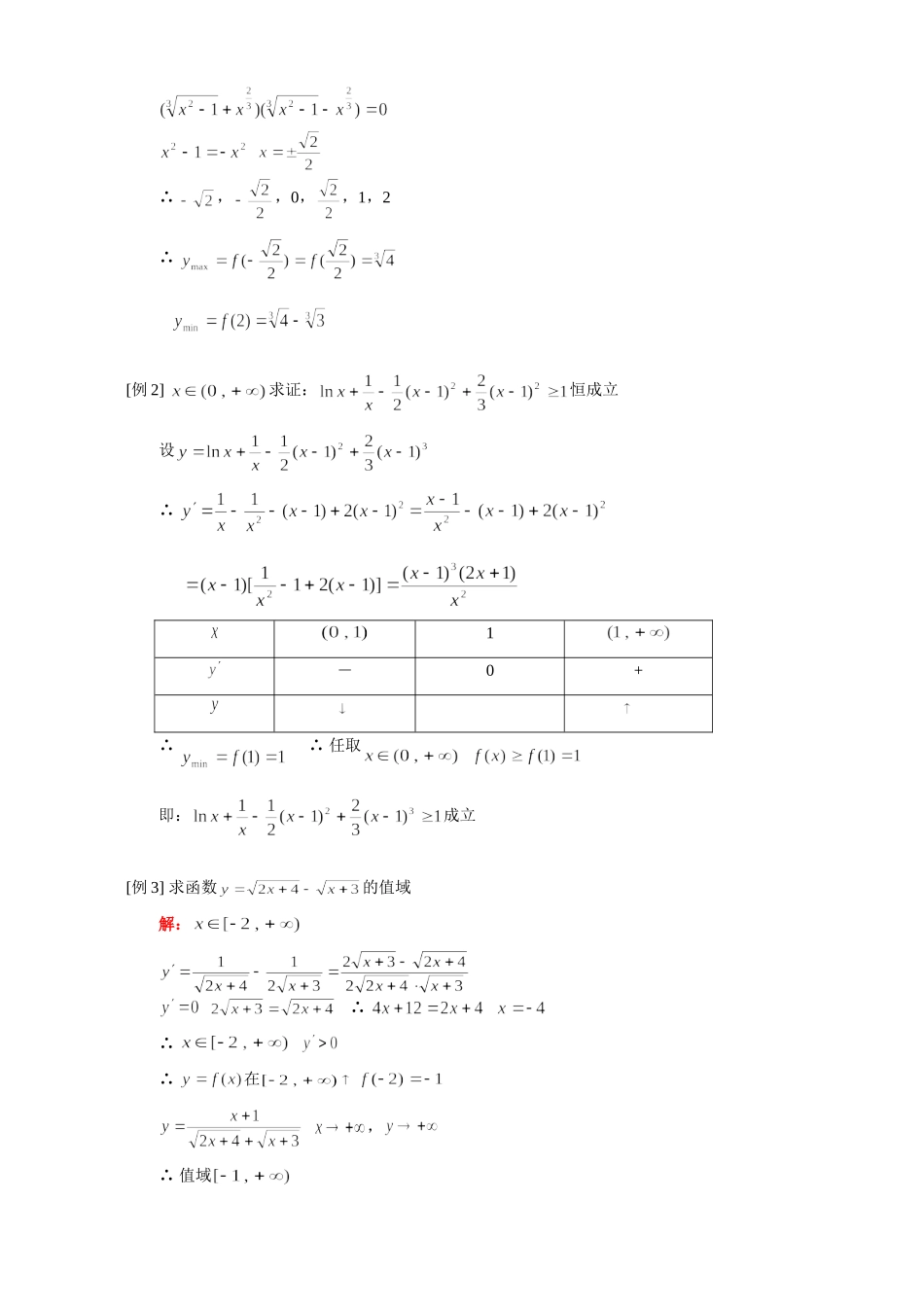
高三数学最值例题解析一. 本周教学内容最值二. 重点、难点1. 闭区间的连续函数必有最值2. 求最值,(1)求导(2)令解(3)计算、、……、(4)其中最大的为最大值,最小的为最小值3. 不一定有最值应分析,的趋势4. 应用题应多考虑实际情况【典型例题】[例 1] 求下列函数最值1. 2. 3. 4. 5. 6. 7. 解:1. ∴ ∴ , ∴ 2. () ∴ ∴ 3. 同上 且时 ∴ 无最大值 4. 令 ∴ ∴ ∴ 5. 同上 ∴ 无最大值 ∴ 6. ∴ 无最小值 7. 令 ∴ ,,0,,1,2∴ [例 2] 求证:恒成立设∴ 1-0+∴ ∴ 任取 即:成立[例 3] 求函数的值域解: ∴ ∴ ∴ 在 ,∴ 值域[例 4] 、,且,,,求的最值。解:令 ∴ ∴ [例 5] ,,,,求 a、b解:(1) ∴ ∴ ∴ (2) ∴ ∴ ∴ ,[例 6] ,,,,,求 a、b解: ∴ ∴ ∴ ,[例 7] 在一块正形铁板的三个角分别剪去三个全等的小四边形,然后折成一个正三棱柱(如图)求正三棱柱体积最大值。解:设底面边长为∴ ∴ 时,[例 8] 在半径为 R 的圆上取一个圆心角为的扇形,并卷成一个圆锥。求圆锥体积的最大值。解:设圆锥底面半径为 r ∴ 令令 ∴ 此时,[例 9] A 在曲线上,,求的最小值。设 令 ∴ 时,此时(答题时间:30 分钟)1. 的最大值为( )A. B. C. D. 102. 在处为最值,则( )A. 2 B. 1 C. D. 03. ,最大值,最小值为( )A. B. C. D. 4. 在点处的切线 与 、轴围成三角形面积为 S。(1)求 的方程(2)求的最大值 [参考答案]1. A2. A3. B4. (1)解: ∴ :(2) ∴ ∴

1、当您付费下载文档后,您只拥有了使用权限,并不意味着购买了版权,文档只能用于自身使用,不得用于其他商业用途(如 [转卖]进行直接盈利或[编辑后售卖]进行间接盈利)。
2、本站所有内容均由合作方或网友上传,本站不对文档的完整性、权威性及其观点立场正确性做任何保证或承诺!文档内容仅供研究参考,付费前请自行鉴别。
3、如文档内容存在违规,或者侵犯商业秘密、侵犯著作权等,请点击“违规举报”。

碎片内容

高三数学最值例题解析 人教版考试卷

您可能关注的文档

远洋启航书店+ 关注
实名认证
内容提供者

从事历史教学,热爱教育,高度负责。

确认删除?
VIP
微信客服
  • 扫码咨询
会员Q群
  • 会员专属群点击这里加入QQ群
客服邮箱
回到顶部