分数档次理科(含优惠分)文科(含优惠分)人 数累计人数人 数累计人数 2017年河北省普通高校招生文理科考生一分一档统计表701及以上 1...
名次人数累计加优惠分人数累计名次人数累计加优惠分人数累计715及以上-----013131414714-----7417418713-----8421422712-----9526527711---...
名次人数累计加优惠分人数累计名次人数累计加优惠分人数715及以上-----0131314714-----74174713-----84214712-----95265711-----108349710-...
分数档次理科(含优惠分)文科(含优惠分)人 数累计人数人 数累计人数 2016年河北省普通高校招生文理科考生一分一档统计表715及以上 1...
分数档次理科(含优惠分)文科(含优惠分)人 数累计人数人 数累计人数 2016年河北省普通高校招生文理科考生一分一档统计表715及以上 1...
人 数 累计人数 人 数 累计人数 710及以上1717709118708321707526706834705539704544703549702352701658700147269911836988916977986...
名次人数(含优惠分)累计人数(含优惠分)名次人数(含优惠分)累计人数(含优惠分)710及以上17177099118708103217071152670612834705135...
2015年河南省普通高招分数段统计表(理科) (统计表中“考生人数”为加入政策性照顾分后对应总分及以上考生累计人数) 第 1 页,共 8 ...
2015年河北省普通高考文理科一分一档统计表
名 次人 数 累 计加优惠 分人数累 计710及以上709708707706705704703702701700699698697696695694693692691名 次人 数 累 计加优...
分数档次 文 2014年河北省高考文理科一分一档统计表完整版 科 理 加优惠 科 加优惠 7 1 0 及以上 7 0 9 7 0 8 7 0 7 ...
2 0 1 4 年河北高考成绩一分一档排名表(文理) 分数档次 文科 理工 名次 人数 累计 加优惠分人数 累计 名次 人数 累计 加优...
精品welcome 南 通 市 通 启 公 路 工 程 有 限 公 司特种设备“一机一档”()南通市通启公路工程有限公司精品welcome 二〇...
2012年河北省普通高校招生文理名 次人 数累 计加优惠分人数累 计700及以上055111169963831469876146206978115222696921722469510320327...
名 次人 数累 计加优惠分人数累 计690及以上0393953536891284712656881375477268714862981686151476149568516169215110684171410616126...
2011年河北省普通高校招生文理科一分一档统计表名 次人 数累 计加优惠分人数累 计名 次人 数累 计加优惠分人数累 计6 9 0 及以...
2011年河北省普通高校招生文理科一分一档统计表名 次人 数累 计加优惠分人数累 计名 次人 数累 计加优惠分人数累 计6 9 0 及以...
2011年河北省普通高校招生文理科一分一档统计表名 次人 数累 计加优惠分人数累 计名 次人 数累 计加优惠分人数累 计6 9 0 及以...
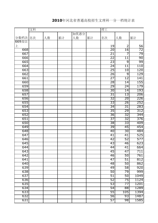
名次人数累计加优惠分人数累计名次人数累计669及以上192566682016726672177966622119066523999664241111066325101206622691296612712141660...
2 0 1 0 年河北高考成绩一分一档排名表(文理) 分数档次 文科 理工 名次 人数 累计 加优惠分人数 累计 名次 人数 累计 加优...

