拖动LOGO至书签栏,立即收藏小米粒文库
首页
党建公文
汇报报告
综合大类
党性分析
乡村振兴
意识形态
调查研究
党建工作
思想汇报
剖析整改
典型案例
换届选举
自我评价
主题教育
先进事迹
述职述廉
自查报告
通知报告
心得体会
综合大类
经验交流
观后感
读后感
学习体会
主题教育
教育整顿
总结计划
综合大类
工作计划
安全生产
教育整顿
主题教育
意识形态
党建工作
党风廉政
年终总结
季度半年
讲话发言
讲话稿
发言稿
演讲稿
主持词
致辞
党课讲稿
教育整顿
主题教育
廉政建设
慰问信
竞职竞聘
研讨材料
表彰大会
任职表态
安全生产
灾害防治
金融会议
组织生活
对照检查
批评意见
方案报告
讲话发言
谈心谈话
主持词
电脑桌面
添加小米粒文库到电脑桌面
安装后可以在桌面快捷访问
立即添加
上传文档
开通会员
限时优惠
充值
登录 | 注册
首页
文档
党建公文
汇报报告
综合大类
全部分类
幼儿/小学教育
中学教育
高等教育
行业资料
党建公文
生活休闲
学术论文
热门标签
2024年
工作总结
范文
2024
方案
工作
个人
工作计划
数学
总结
合同
语文
安全
教案
心得体会
小学
活动
人教
演讲稿
课件
高中
上册
年度
学习
公司
施工
关于
报告
下册
XX
高考
复习
2025年
英语
企业
管理
模板
参考
新人教
教师
幼儿园
学期
学校
七年级
八年级
教育
讲话
中学
作文
计划
综合大类
分类:
综合大类
党性分析
乡村振兴
意识形态
调查研究
党建工作
思想汇报
剖析整改
典型案例
换届选举
自我评价
主题教育
先进事迹
述职述廉
自查报告
通知报告
类型:
不限
免费
付费
原创
VIP专享
VIP免费
优质文档
综合排序
新品优先
下载量优先
人气优先
VIP
2024年石门镇财政所规范化建设情况汇报
VIP
办公室5S检查表
VIP
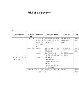
数控机床故障维修记录表
VIP
汉字偏旁部首(201个)名称表
高中数学 2.2.2向量的减法学案 北师大版必修4
高中数学 2.2.2 事件的相互独立性学案 新人教A版选修2-3-新人教A版高中选修2-3数学学案
高中数学 2.2.1向量的加法运算及其几何意义导学案 新人教版必修4-新人教版高二必修4数学学案
高中数学 2.2.1等差数列导学案(含解析)新人教版必修5-新人教版高二必修5数学学案
高中数学 2.2.1 综合法和分析法学案 新人教A版选修2-2
高中数学 2.1.5平面上两点间的距离学案 苏教版必修2-苏教版高二必修2数学学案
高中数学 2.1.3分层抽样学案 苏教版必修3-苏教版高二必修3数学学案
高中数学 2.1.2离散变型随机变量的分布列学案 新人教A版选修2-3-新人教A版高二选修2-3数学学案
高中数学 2.1.2指数函数及其性质(第2课时)学案设计 新人教A版必修1-新人教A版高一必修1数学学案
高中数学 2.1.2《平面直角坐标系中的基本公式》学案 新人教版必修2
高中数学 1.4 统计图表导学案学案 北师大版必修3
高中数学 2.1.1指数与指数幂的运算(第2课时)学案设计 新人教A版必修1-新人教A版高一必修1数学学案
高中数学 2.1.1《数轴上的基本公式》学案 新人教版必修2
高中数学 2.1.1 指数与指数幂的运算(2)导学案 新人教A版必修1
研讨发言:严格依规做好党员处分工作 助力政协事业高质量发展
高中数学 2.1 数列的概念与简单表示法 第二课时 数列的简单表示方法学案(无答案)新人教A版必修5-新人教A版高二必修5数学学案
首页
上页
1
2
3
4
5
下页
尾页
确认删除?
VIP
微信客服
扫码咨询
会员Q群
会员专属群
客服邮箱
客服邮箱
xiaomilidoc@163.com
回到顶部