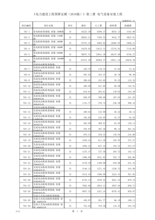
金额单位:元项目编码项目名称单位 基价人工费 材料费 机械费 YX1-1人力运输 混凝土杆 每件重500kg以内t.km175.25163.760.0011.49 YX...
金额单位:元项目编码项目名称单位 基价人工费 材料费 机械费 YD1-1发电机检查接线 容量 50MW级台16225.386398.276634.133192.98 YD1...