电脑桌面
添加小米粒文库到电脑桌面
安装后可以在桌面快捷访问

《电力建设工程预算定额(2018版)》第三册电气设备安装工程VIP专享

《电力建设工程预算定额(2018版)》第三册电气设备安装工程_第1页
1/49
《电力建设工程预算定额(2018版)》第三册电气设备安装工程_第2页
2/49
《电力建设工程预算定额(2018版)》第三册电气设备安装工程_第3页
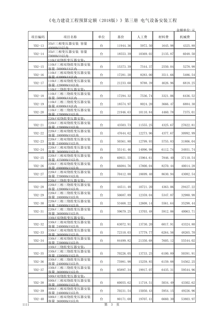
3/49
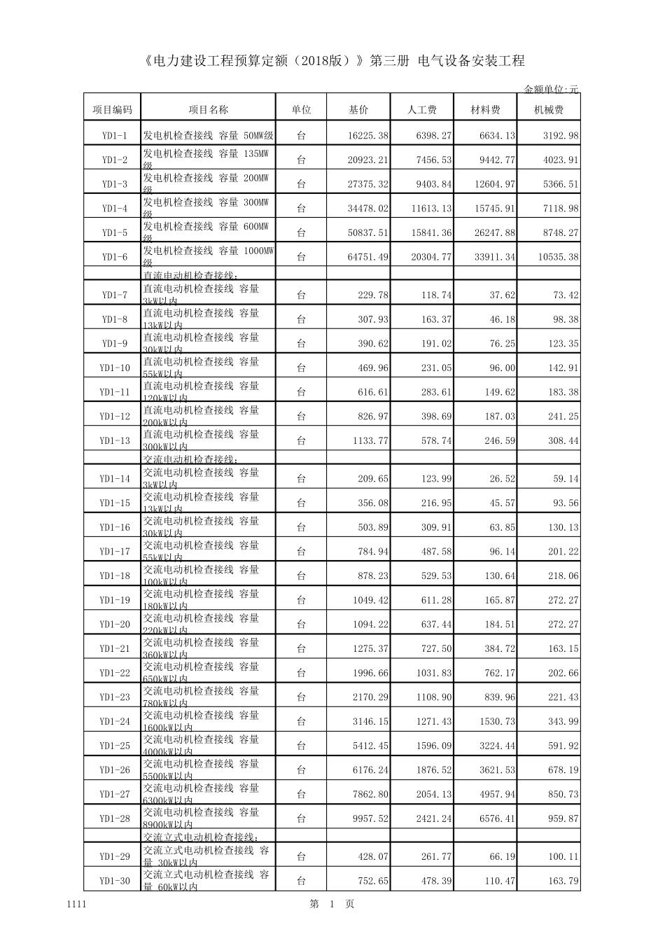
金额单位:元项目编码项目名称单位 基价人工费 材料费 机械费 YD1-1发电机检查接线 容量 50MW级台16225.386398.276634.133192.98 YD1-2发电机检查接线 容量 135MW级台20923.217456.539442.774023.91 YD1-3发电机检查接线 容量 200MW级台27375.329403.8412604.975366.51 YD1-4发电机检查接线 容量 300MW级台34478.0211613.1315745.917118.98 YD1-5发电机检查接线 容量 600MW级台50837.5115841.3626247.888748.27 YD1-6发电机检查接线 容量 1000MW级台64751.4920304.7733911.3410535.38直流电动机检查接线: YD1-7直流电动机检查接线 容量3kW以内台229.78118.7437.6273.42 YD1-8直流电动机检查接线 容量13kW以内台307.93163.3746.1898.38 YD1-9直流电动机检查接线 容量30kW以内台390.62191.0276.25123.35 YD1-10直流电动机检查接线 容量55kW以内台469.96231.0596.00142.91 YD1-11直流电动机检查接线 容量120kW以内台616.61283.61149.62183.38 YD1-12直流电动机检查接线 容量200kW以内台826.97398.69187.03241.25 YD1-13直流电动机检查接线 容量300kW以内台1133.77578.74246.59308.44交流电动机检查接线: YD1-14交流电动机检查接线 容量3kW以内台209.65123.9926.5259.14 YD1-15交流电动机检查接线 容量13kW以内台356.08216.9545.5793.56 YD1-16交流电动机检查接线 容量30kW以内台503.89309.9163.85130.13 YD1-17交流电动机检查接线 容量55kW以内台784.94487.5896.14201.22 YD1-18交流电动机检查接线 容量100kW以内台878.23529.53130.64218.06 YD1-19交流电动机检查接线 容量180kW以内台1049.42611.28165.87272.27 YD1-20交流电动机检查接线 容量220kW以内台1094.22637.44184.51272.27 YD1-21交流电动机检查接线 容量360kW以内台1275.37727.50384.72163.15 YD1-22交流电动机检查接线 容量650kW以内台1996.661031.83762.17202.66 YD1-23交流电动机检查接线 容量780kW以内台2170.291108.90839.96221.43 YD1-24交流电动机检查接线 容量1600kW以内台3146.151271.431530.73343.99 YD1-25交流电动机检查接线 容量4000kW以内台5412.451596.093224.44591.92 YD1-26交流电动机检查接线 容量5500kW以内台6176.241876.523621.53678.19 YD1-27交流电动机检查接线 容量6300kW以内台7862.802054.134957.94850.73 YD1-28交流电动机检查接线 容量8900kW以内台9957.522421.246576.41959.87交流立式电...

1、当您付费下载文档后,您只拥有了使用权限,并不意味着购买了版权,文档只能用于自身使用,不得用于其他商业用途(如 [转卖]进行直接盈利或[编辑后售卖]进行间接盈利)。
2、本站所有内容均由合作方或网友上传,本站不对文档的完整性、权威性及其观点立场正确性做任何保证或承诺!文档内容仅供研究参考,付费前请自行鉴别。
3、如文档内容存在违规,或者侵犯商业秘密、侵犯著作权等,请点击“违规举报”。

碎片内容

《电力建设工程预算定额(2018版)》第三册电气设备安装工程

确认删除?
VIP
微信客服
  • 扫码咨询
会员Q群
  • 会员专属群点击这里加入QQ群
客服邮箱
回到顶部