电脑桌面
添加小米粒文库到电脑桌面
安装后可以在桌面快捷访问

通信网络基础-李建东-盛敏-课后习题答案

通信网络基础-李建东-盛敏-课后习题答案_第1页
1/20
通信网络基础-李建东-盛敏-课后习题答案_第2页
2/20
通信网络基础-李建东-盛敏-课后习题答案_第3页
3/20
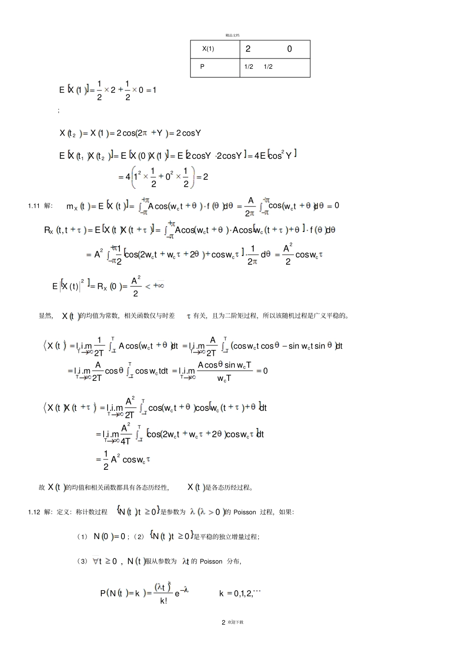
精品文档。1 欢迎下载1.1 答:通信网络由子网和终端构成(物理传输链路和链路的汇聚点),常用的通信网络有ATM网络,X.25 分组数据网络, PSTN,ISDN,移动通信网等。1.2 答:通信链路包括接入链路和网络链路。接入链路有:(1)Modem链路,利用PSTN电话线路,在用户和网络侧分别添加Modem设备来实现数据传输,速率为300b/s 和56kb/s ;(2)xDSL链路,通过数字技术,对PSTN端局到用户终端之间的用户线路进行改造而成的数字用户线DSL,x 表示不同的传输方案;(3)ISDN,利用 PSTN实现数据传输,提供两个基本信道:B 信道( 64kb/s ),D 信道( 16kb/s 或 64kb/s );( 4)数字蜂窝移动通信链路,十几kb/s ~2Mb/s;( 5)以太网,双绞线峰值速率10Mb/s,100Mb/s 。网络链路有:(1)X.25 提供 48kb/s ,56kb/s 或 64kb/s 的传输速率,采用分组交换,以虚电路形式向用户提供传输链路;(2)帧中继, 吞吐量大, 速率为 64kb/s ,2.048Mb/s ;(3)SDH(同步数字系列) ,具有标准化的结构等级STM-N;(4)光波分复用WDM,在一根光纤中能同时传输多个波长的光信号。1.3答:分组交换网中,将消息分成许多较短的,格式化的分组进行传输和交换,每一个分组由若干比特组成一个比特串,每个分组都包括一个附加的分组头,分组头指明该分组的目的节点及其它网络控制信息。每个网络节点采用存储转发的方式来实现分组的交换。1.4答:虚电路是分组传输中两种基本的选择路由的方式之一。在一个会话过程开始时,确定一条源节点到目的节点的逻辑通路,在实际分组传输时才占用物理链路,无分组传输时不占用物理链路,此时物理链路可用于其它用户分组的传输。会话过程中的所有分组都沿此逻辑通道进行。而传统电话交换网PSTN中物理链路始终存在,无论有无数据传输。1.5 答:差别: ATM信元采用全网统一的固定长度的信元进行传输和交换,长度和格式固定,可用硬件电路处理,缩短了处理时间。为支持不同类型的业务,ATM网络提供四种类别的服务:A,B,C,D 类,采用五种适配方法:AAL1~ AAL5,形成协议数据单元CS-PDU,再将 CS-PDU分成信元,再传输。1.7 答: OSI 模型七个层次为:应用层,表示层,会话层,运输层,网络层,数据链路层,物理层。TCP/IP 五个相对独立的层次为:应用层,运输层,互联网层,网络接入层,物理层。它们的对应关系如下: OSI模型 TCP/IP参考模型1.10 解:YttX2cos2YYXcos22cos21应用层表示层会...

1、当您付费下载文档后,您只拥有了使用权限,并不意味着购买了版权,文档只能用于自身使用,不得用于其他商业用途(如 [转卖]进行直接盈利或[编辑后售卖]进行间接盈利)。
2、本站所有内容均由合作方或网友上传,本站不对文档的完整性、权威性及其观点立场正确性做任何保证或承诺!文档内容仅供研究参考,付费前请自行鉴别。
3、如文档内容存在违规,或者侵犯商业秘密、侵犯著作权等,请点击“违规举报”。

碎片内容

通信网络基础-李建东-盛敏-课后习题答案

确认删除?
VIP
微信客服
  • 扫码咨询
会员Q群
  • 会员专属群点击这里加入QQ群
客服邮箱
回到顶部