电脑桌面
添加小米粒文库到电脑桌面
安装后可以在桌面快捷访问

向量与三角函数综合试题VIP免费

向量与三角函数综合试题_第1页
1/8
向量与三角函数综合试题_第2页
2/8
向量与三角函数综合试题_第3页
3/8
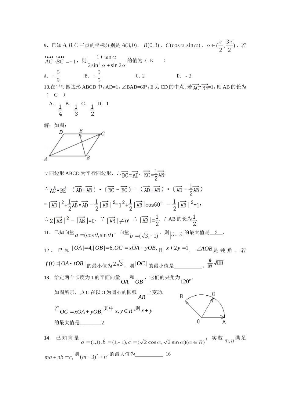
ABCDEF向量与三角函数综合试题1.已知向量a、b满足b·(a-b)=0,且|a|=2|b|,则向量a+2b与a的夹角为(D)A.3πB.3π2C.2πD.6π2.已知向量,,其中.若,则当恒成立时实数的取值范围是(B)A.或B.或C.D.3.已知O为原点,点P(x,y)在单位圆x2+y2=1上,点Q(2cos,2sin),且=(,-),则·的值是(A)A.B.C.2D.4.,则||的最小值是BA.B.C.1D.5.如图,△ABC中,AB=4,AC=4,∠BAC=60°,延长CB到D,使||||BABD�,当E点在线段AD上移动时,若,AEABAC�则的最大值是(C)A.1B.3C.3D.236.已知向量,向量,向量,则向量与向量的夹角的取值范围是(D)A.B.C.D.7.已知向量,实数满足,则的最小值为(D)A.B.1C.D.8.如图,BC是单位圆A的一条直径,F是线段AB上的点,且,若DE是圆A中绕圆心A运动的一条直径,则的值是(B)B.)()A.B.C.D.不确定9.已知三点的坐标分别是,,,,若,则的值为(B)A.B.C.2D.10.在平行四边形ABCD中,AD=1,∠BAD=60°,E为CD的中点.若•=1,则AB的长为(C)A.B.C.D.1解:如图:∵四边形ABCD为平行四边形,∴,,∴====,∴.∵,∴.∴AB的长为.11.已知向量,向量,则的最大值是2.12.已知||4,||6,,OAOBOCxOAyOB�且21xy,AOB是钝角,若()||ftOAtOB�的最小值为23,则||OC�的最小值是。13.给定两个长度为1的平面向量OA�和OB�,它们的夹角为120o.如图所示,点C在以O为圆心的圆弧AB�上变动.若,OCxOAyOB�其中,xyR,则xy的最大值是________.214.已知向量,实数满足则的最大值为1615.在平行四边形中,ABCD已知60DAB1,AD2,AB,点ABM为的中点,点P在CDBC与上运动(包括端点),则DMAP的取值范围是.[12,1]16.在△ABC中,π6A,D是BC边上任意一点(D与BC、不重合),且22||||ABADBDDC�,则B等于.12517.已知O为锐角△ABC的外心,AB=6,AC=10,=x+y,且2x+10y=5,则边BC的长为4.解:分别取AB,AC的中点为D,E,并连接OD,OE,根据条件有:ODAB⊥,OEAC⊥;在RtOAD△中,cosOAD=∠==;∴=;同理可得,;∴=36x+60ycosBAC∠①=60xcosBAC+100y∠②又2x+10y=5③∴由①②③解得cosBAC=∠;由余弦定理得:,∴BC=.故答案为:.18.已知向量=(cosA,﹣sinA),=(cosB,sinB),•=cos2C,其中A、B、C为△ABC的内角.(Ⅰ)求角C的大小(Ⅱ)若AB=6,且,求AC、BC的长.解:(Ⅰ)∵=(cosA,﹣sinA),=(cosB,sinB),∴•=cos2C,即cosAcosBsinAsinB=cos﹣(A+B)=cosC=cos2C﹣,…(2分)化简得:2cos2C+cosC1=0﹣,…(4分)故cosC=(cosC=1﹣舍去)C∵∈(0,π),∴C=.…(7分)(Ⅱ)∵,∴•cos=36,即•=36.①…(9分)由余弦定理得AB2=AC2+BC22AC•BCcos60°=36﹣,化简得:AC+BC=12…②(12分)联解①②,可得AC=BC=6.19.已知向量,向量与向量的夹角为,且.(1)求向量;(2)若向量与共线,向量,其中A、C为△ABC的内角,且A、B、C依次成等差数列,求的取值范围.解:(1)设.由,得x+y=1﹣①又向量与向量的夹角为得=,即x2+y2=1②由①、②解得或,∴或.…(5分)(2)结合(1)由向量与共线知;由A、B、C依次成等差数列知.…(7分)∴,∴==.…(10分)∵,∴,∴,∴,∴.…(12分)20.已知向量=(sin2x+2,cosx),=(1,2cosx),设函数f(x)=•3﹣.(Ⅰ)求函数f(x)的最小正周期;(Ⅱ)在△ABC中,a、b、c分别是角A、B、C的对边,若f(A)=1,a=且b+c=3,求△ABC的面积.解:(Ⅰ)∵向量=(sin2x+2,cosx),=(1,2cosx),∴函数f(x)=•3﹣=3﹣==.故函数f(x)的最小正周期.(Ⅱ)由f(A)=1得,,即=.0∵<A<π,∴,∴=,解得A=.由余弦定理得:a2=b2+c22abcosA=﹣(b+c)23bc﹣,a=∵且b+c=3,3=3∴23bc﹣,解得bc=2.∴==.21.已知△ABC的面积为S,且.(1)求tan2A的值;(2)若,,求△ABC的面积S.解:(1)设△ABC的角A,B,C所对应的边分别为a,b,c.∵,∴,…(2分)∴,∴tanA=2.…(4分)∴.…(5分)(2),即,…(6分)tanA=2∵,∴…(7分),∴,解得.…(9分)sinC=sin∴(A+B)=sinAcosB+cosAsinB=.…(11分)由正弦定理知:,可推得…(13分)∴.…(14分)22.设平面向量,若存在实数和角,其中,使向量,且.(1).求的关系式;(2).若,求的最小值,并求出此时的值.解:(1)∵,且,∴∴(2)设,又∵,∴,则令得(舍去)∴时,时,∴时,即时,为极小值也是最小值,最小值为.23.设向量,,其中(1)求的最大值和最小值;(2)若,求实数k的取值范围.

1、当您付费下载文档后,您只拥有了使用权限,并不意味着购买了版权,文档只能用于自身使用,不得用于其他商业用途(如 [转卖]进行直接盈利或[编辑后售卖]进行间接盈利)。
2、本站所有内容均由合作方或网友上传,本站不对文档的完整性、权威性及其观点立场正确性做任何保证或承诺!文档内容仅供研究参考,付费前请自行鉴别。
3、如文档内容存在违规,或者侵犯商业秘密、侵犯著作权等,请点击“违规举报”。

碎片内容

向量与三角函数综合试题

您可能关注的文档

确认删除?
VIP
微信客服
  • 扫码咨询
会员Q群
  • 会员专属群点击这里加入QQ群
客服邮箱
回到顶部