电脑桌面
添加小米粒文库到电脑桌面
安装后可以在桌面快捷访问

表1 韶关市XXXX年部分职位VIP专享VIP免费

表1 韶关市XXXX年部分职位_第1页
1/10
表1 韶关市XXXX年部分职位_第2页
2/10
表1 韶关市XXXX年部分职位_第3页
3/10
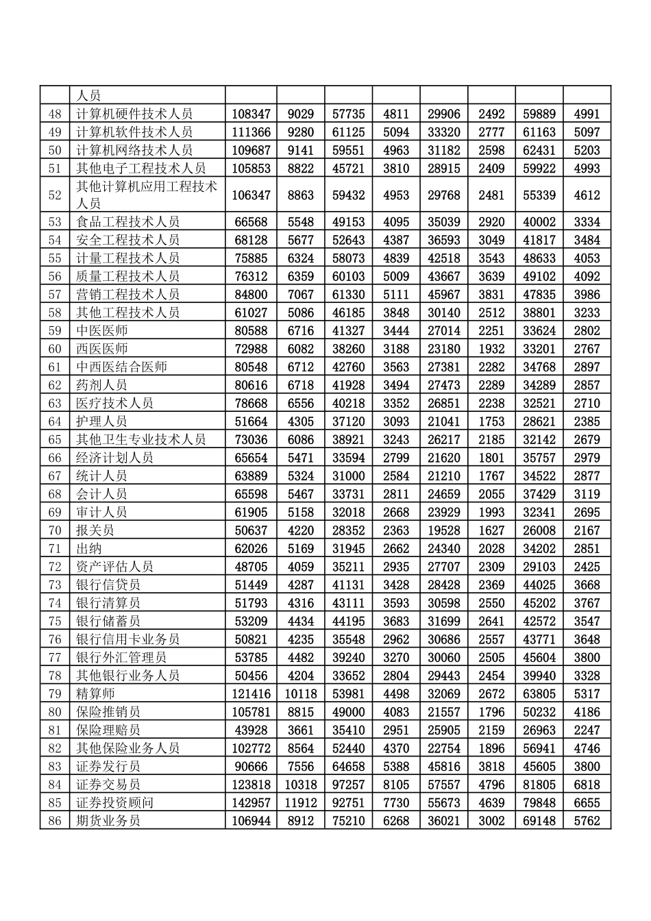
表1韶关市2011年部分职位(工种)工资指导价位单位:元/人序号工种名称高位数中位数低位数平均数年薪月薪年薪月薪年薪月薪年薪月薪第一大类:企业中高层人员1企业董事1822791519069496579145500379210923691032企业经理(厂长)1795901496661580513241556346310570988103企业副经理(副厂长)165227137705693547444051433779685680714行政经理123851103215682647363327727746854257125财务经理123044102535580146503541029517385361546人事经理120270100237367261393155326307752964607企业生产或经营经理120164100134770639763181726519310777588销售和营销经理10452887115371144762960424677464962209广告和公关经理74568621441314344329680247450944424610车间主任1479101232674629621839477329079480662411分厂厂长1344991120866692555841854348884312702612采购经理71732597853858448832744272968168568013研究和开发经理75153626245204376731366261350475420614保安经理97410811751382428233017275158273485515餐厅经理68288569147678397334215285245860382216客房经理548674572441273678311692598395853299第二大类:专业技术人员17测绘工程技术人员62367519748621405226354219642550354618矿山工程技术人员71700597554317452633703280947671397319冶金工程技术人员70358586453481445632603271747966399820化工工程技术人员60777506449976416528020233543468362221机械工程技术人员56571471552985441525835215343495362522石油工程技术人员1295991080081818681845154376255759464723金属材料工程技术人员55777464850145417823656197142009350124医药工程技术人员71064592250806423432348269641638346925地质勘探工程技术人员70431586951369428134279285743008358426大地测量工程技术人员70190584951273427233758281442558354727工程测量工程技术人员69025575349079409033166276441706347628通信工程技术人员1201921001562706522538454320461462512229电子工程技术人员112631938648080400831490262566399553330电气工程技术人员89379744947353394627852232244190368331电力工程技术人员90033750348125401130982258252737439532发电工程技术人员89459745548878407430720256051303427633输变电工程技术人员89692747548604405130252252050864423934交通工程技术人员118336986154824456942738356259783498135铁路工程技术人员65954549648945407936733306241683347436道路与桥梁工程技术人员63118525947390395034917291041105342637建筑设计工程技术人员67383561550349419634884290640678339038建材工程技术人员69466578951828431937099309242011350139土木建筑工程技术人员63324527849177409934485287339563329740风景园林工程技术人员63069525648277402234003283339110325941林业工程技术人员72356602955766464737939316127553229542水利水电建筑工程技术人员623095193462893857313052608356832974表1韶关市2011年部分职位(工种)工资指导价位单位:元/人序号工种名称高位数中位数低位数平均数年薪月薪年薪月薪年薪月薪年薪月薪43水资源工程技术人员61921516045841382030848257035306294344环境污染治理工程技术人员65435545348655405534855290538951324645其他环境保护工程技术人员64659538848122401034650288838229318646电子元器件工程技术人员63450528848016400139136326139009325147电子仪器与测量工程技术646455387512184268419023493406803390人员48计算机硬件技术人员108347902957735481129906249259889499149计算机软件技术人员111366928061125509433320277761163509750计算机网络技术人员109687914159551496331182259862431520351其他电子工程技术人员105853882245721381028915240959922499352其他计算机应用工程技术人员106347886359432495329768248155339461253食品工程技术人员66568554849153409535039292040002333454安全工程技术人员68128567752643438736593304941817348455计量工程技术人员75885632458073483942518354348633405356质量工程技术人员76312635960...

1、当您付费下载文档后,您只拥有了使用权限,并不意味着购买了版权,文档只能用于自身使用,不得用于其他商业用途(如 [转卖]进行直接盈利或[编辑后售卖]进行间接盈利)。
2、本站所有内容均由合作方或网友上传,本站不对文档的完整性、权威性及其观点立场正确性做任何保证或承诺!文档内容仅供研究参考,付费前请自行鉴别。
3、如文档内容存在违规,或者侵犯商业秘密、侵犯著作权等,请点击“违规举报”。

碎片内容

表1 韶关市XXXX年部分职位

确认删除?
VIP
微信客服
  • 扫码咨询
会员Q群
  • 会员专属群点击这里加入QQ群
客服邮箱
回到顶部