电脑桌面
添加小米粒文库到电脑桌面
安装后可以在桌面快捷访问

第二学期药学专业有机化学练习及答案VIP免费

第二学期药学专业有机化学练习及答案_第1页
1/8
第二学期药学专业有机化学练习及答案_第2页
2/8
第二学期药学专业有机化学练习及答案_第3页
3/8
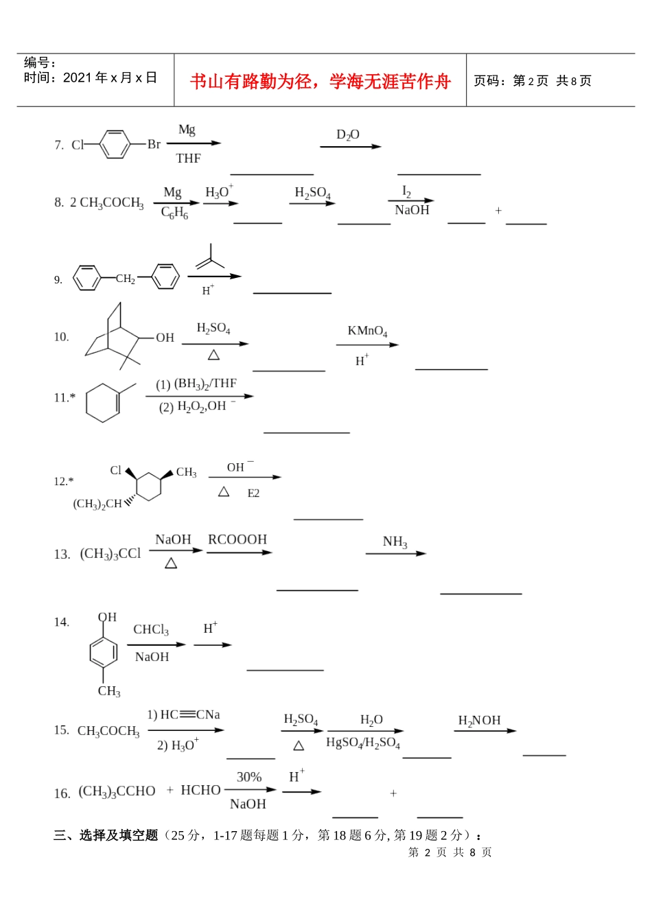
第1页共8页编号:时间:2021年x月x日书山有路勤为径,学海无涯苦作舟页码:第1页共8页药学专业《有机化学》试卷班级学号姓名考试日期一、命名下列化合物或写出结构式(16分,1-6题每题1分,7-8题每题3分,9-10题每题2分):二、完成下列反应式(打号者写出立体化学产物)(30分,每个空格1分):第2页共8页第1页共8页编号:时间:2021年x月x日书山有路勤为径,学海无涯苦作舟页码:第2页共8页三、选择及填空题(25分,1-17题每题1分,第18题6分,第19题2分):第3页共8页第2页共8页编号:时间:2021年x月x日书山有路勤为径,学海无涯苦作舟页码:第3页共8页1.下列化合物中哪个可以起碘仿反应A.CH3CH2CHOB.CH3CH2CH2OHC.CH3CH2COCH32.下列哪种化合物能形成分子内氢键A.对硝基苯酚B.邻硝基苯酚C.对甲基苯酚D.对甲氧基苯酚3.下列羰基化合物与饱和亚硫酸氢钠加成时平衡常数K值最大的是A.CH3CHOB.CH3COCH3C.C6H5COC2H5D.ClCH2CHO4.Williason合成法是合成的重要方法A.卤代烃B.高级炔C.混合醚D.伯醇5.下面反应的机理为A.亲电取代B.苯炔机理C.亲核加成-消去D.亲核取代6.分子式为C4H10O的所有异构体的数目为A.5B.6C.7D.8E.97.下列反应正确的是8.下列化合物中,不具有芳香性的是第4页共8页第3页共8页编号:时间:2021年x月x日书山有路勤为径,学海无涯苦作舟页码:第4页共8页9.下列卤代烃在KOH-C2H5OH溶液中消去卤化氢速度快的是10.下列化合物能溶于硫酸的是A.甲苯B.丁烷C.对硝基苯酚D.苯甲醚11.下列含氧化合物中不被稀酸水解的是12.下列化合物中,具有手性的是13.能与斐林试剂发生反应的化合物是14.下列化合物中酸性最强的是15.分子CH3CH=CHCl中不存在的电子效应是A.p-π超共轭B.σ-π超共轭C.+I效应D.π-π共轭E.–I效应16.下列碳正离子中最不稳定的是17.下列试剂中,亲核性最强的是A.CH3COO—B.CH3CH2O—C.OH—D.C6H5O—18.指出下列各组化合物之间的关系(构造异构体、同一化合物、对映体、非对映体、构象异构体或顺反异构体)a;b;c;第5页共8页第4页共8页编号:时间:2021年x月x日书山有路勤为径,学海无涯苦作舟页码:第5页共8页d;e;f。四、对下列反应提出合理的反应机理(10分,每题5分):五、从指定原料合成下列化合物(15分,每题5分):六、结构推导(4分):第6页共8页第5页共8页编号:时间:2021年x月x日书山有路勤为径,学海无涯苦作舟页码:第6页共8页1.化合物A分子式为C6H12O,能与羟胺作用生成肟,但不起银镜反应。将A催化加氢得到醇B,B经脱水、臭氧化、还原水解等反应后得到两种液体C和D,C能起银镜反应但不能起碘仿反应,D能起碘仿反应但不能起银镜反应,试推测A、B、C、D的可能结构。药学专业《有机化学》试卷答案一、命名下列化合物或写出结构式(16分,1-6题每题1分,7-8题每题3分,9-10题每题2分):1.5-甲基-1-溴环己烯2.2,4,6–三硝基苯酚3.2,8-二甲基螺[3.4]-5-辛烯4.6,7-二甲基二环[2.2.1]-2-庚醇5.3-戊烯-2-酮7.(1E,3R)-3-叔丁基-1-氯-1-戊烯-4-炔8.(1S,3S)-3-氯甲基环己基甲醛9.D-甘油醛二、完成下列反应式(打号者写出立体化学产物)(30分,每个空格1分):第7页共8页第6页共8页编号:时间:2021年x月x日书山有路勤为径,学海无涯苦作舟页码:第7页共8页三、选择及填空题(25分,1-17题每题1分,第18题6分,第19题2分):1.C2.B3.D4.C5.B6.D7.E8.A9.B10.D11.D12.B13.A14.E15.D16.E17.B18.a.对映体b.非对映体c.构象异构体d.同一物质e.构造异构体顺反异构体四、对下列反应提出合理的反应机理(10分,每题5分):第8页共8页第7页共8页编号:时间:2021年x月x日书山有路勤为径,学海无涯苦作舟页码:第8页共8页五、从指定原料合成下列化合物(15分,每题5分):六、结构推导(4分):

1、当您付费下载文档后,您只拥有了使用权限,并不意味着购买了版权,文档只能用于自身使用,不得用于其他商业用途(如 [转卖]进行直接盈利或[编辑后售卖]进行间接盈利)。
2、本站所有内容均由合作方或网友上传,本站不对文档的完整性、权威性及其观点立场正确性做任何保证或承诺!文档内容仅供研究参考,付费前请自行鉴别。
3、如文档内容存在违规,或者侵犯商业秘密、侵犯著作权等,请点击“违规举报”。

碎片内容

第二学期药学专业有机化学练习及答案

中小学教育精品资料+ 关注
实名认证
内容提供者

中小学教育资料,优质文档创作者

确认删除?
VIP
微信客服
  • 扫码咨询
会员Q群
  • 会员专属群点击这里加入QQ群
客服邮箱
回到顶部