电脑桌面
添加小米粒文库到电脑桌面
安装后可以在桌面快捷访问

一季度经济分析VIP免费

一季度经济分析_第1页
1/3
一季度经济分析_第2页
2/3
一季度经济分析_第3页
3/3
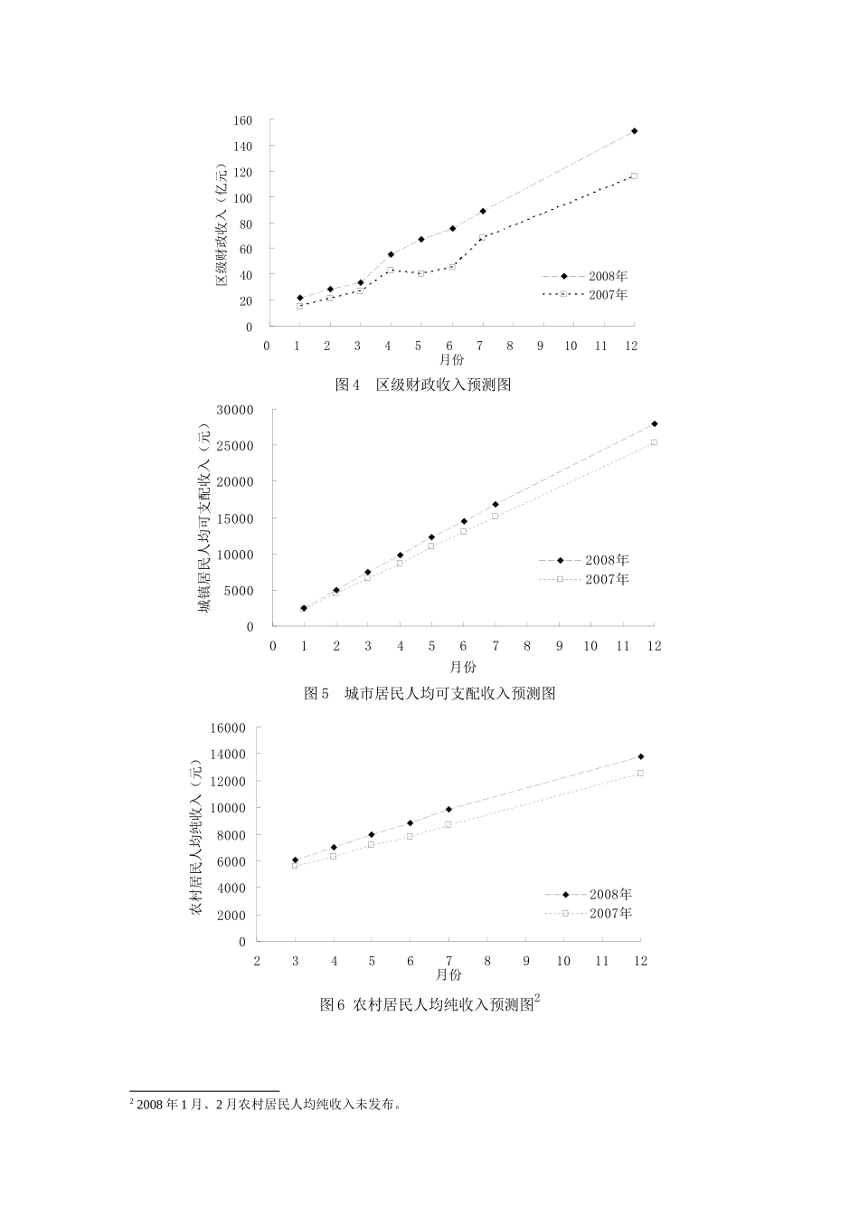
附件:表1全市及城八区2008年1-7月份主要指标完成情况(绝对量单位:亿元增幅单位:%)指标名称地区全社会固定资产投资社会消费品零售总额财政收入城市居民人均可支配收入(元)绝对量增幅绝对量增幅绝对量增幅绝对量增幅海淀213.46.1488.916.288.5830.416820.811.2朝阳381.513.2723.121.2112.847.41499913.1东城109.236.0183.323.740.730.81519410西城107.4-16.116523.6118.386.3164049.9崇文4514.477.924.210.620.01498812.2宣武6511.277.331.230.928.514683.416.7丰台91.229.4298.326.521.925.413513.811.0石景山35.4-30.787.24.49.9843.413496.812.8北京19139.32591.621.51267.539.71454311.9表2我区已办理完成上市备案近期拟上市企业情况序号拟上市企业名称备案项目数量拟募集资金金额(亿元)1北京久其软件股份有限公司82.92汉王科技股份有限公司52.53北京四方继保自动化股份有限公司106.54北京百慕航材高科技股份有限公司52.85北京京北方科技股份有限公司41.56中国南方机车车辆工业集团公司157北京神州泰岳软件股份有限公司42.88中国北方机车车辆工业集团公司169太极计算机股份有限公司63.410北京湘鄂情股份有限公司10.311中冶集团建筑研究总院115.912北京联信永益科技股份有限公司52.113北京数码视讯科技股份有限公司5314北京神州金信科技股份有限公司13.315北京拓尔思信息技术股份有限公司5316北京佳讯飞鸿电气股份有限公司31.417海兰信数据科技股份有限公司30.818北京四维图新科技股份有限公司35.819同方环境股份有限公司10.120广联达科技股份有限公司62.9合计7872图1地区生产总值预测图图2全社会固定资产投资预测图1图3社会消费品零售额预测图12008年1月全社会固定资产投资未发布。050010001500200025000123456789101112月份地区生产总值(亿元)2006年2007年2008年01002003004005006000123456789101112月份全社会固定资产投资(亿元)2008年2007年020040060080010000123456789101112月份社会消费品零售额(亿元)2008年2007年图4区级财政收入预测图图5城市居民人均可支配收入预测图图6农村居民人均纯收入预测图222008年1月、2月农村居民人均纯收入未发布。0204060801001201401600123456789101112月份区级财政收入(亿元)2008年2007年0500010000150002000025000300000123456789101112月份城镇居民人均可支配收入(元)2008年2007年020004000600080001000012000140001600023456789101112月份农村居民人均纯收入(元)2008年2007年

1、当您付费下载文档后,您只拥有了使用权限,并不意味着购买了版权,文档只能用于自身使用,不得用于其他商业用途(如 [转卖]进行直接盈利或[编辑后售卖]进行间接盈利)。
2、本站所有内容均由合作方或网友上传,本站不对文档的完整性、权威性及其观点立场正确性做任何保证或承诺!文档内容仅供研究参考,付费前请自行鉴别。
3、如文档内容存在违规,或者侵犯商业秘密、侵犯著作权等,请点击“违规举报”。

碎片内容

一季度经济分析

书海行舟+ 关注
实名认证
内容提供者

热爱教学事业,对互联网知识分享很感兴趣

确认删除?
VIP
微信客服
  • 扫码咨询
会员Q群
  • 会员专属群点击这里加入QQ群
客服邮箱
回到顶部