电脑桌面
添加小米粒文库到电脑桌面
安装后可以在桌面快捷访问

第二节对数函数新课教学用VIP免费

第二节对数函数新课教学用_第1页
1/7
第二节对数函数新课教学用_第2页
2/7
第二节对数函数新课教学用_第3页
3/7
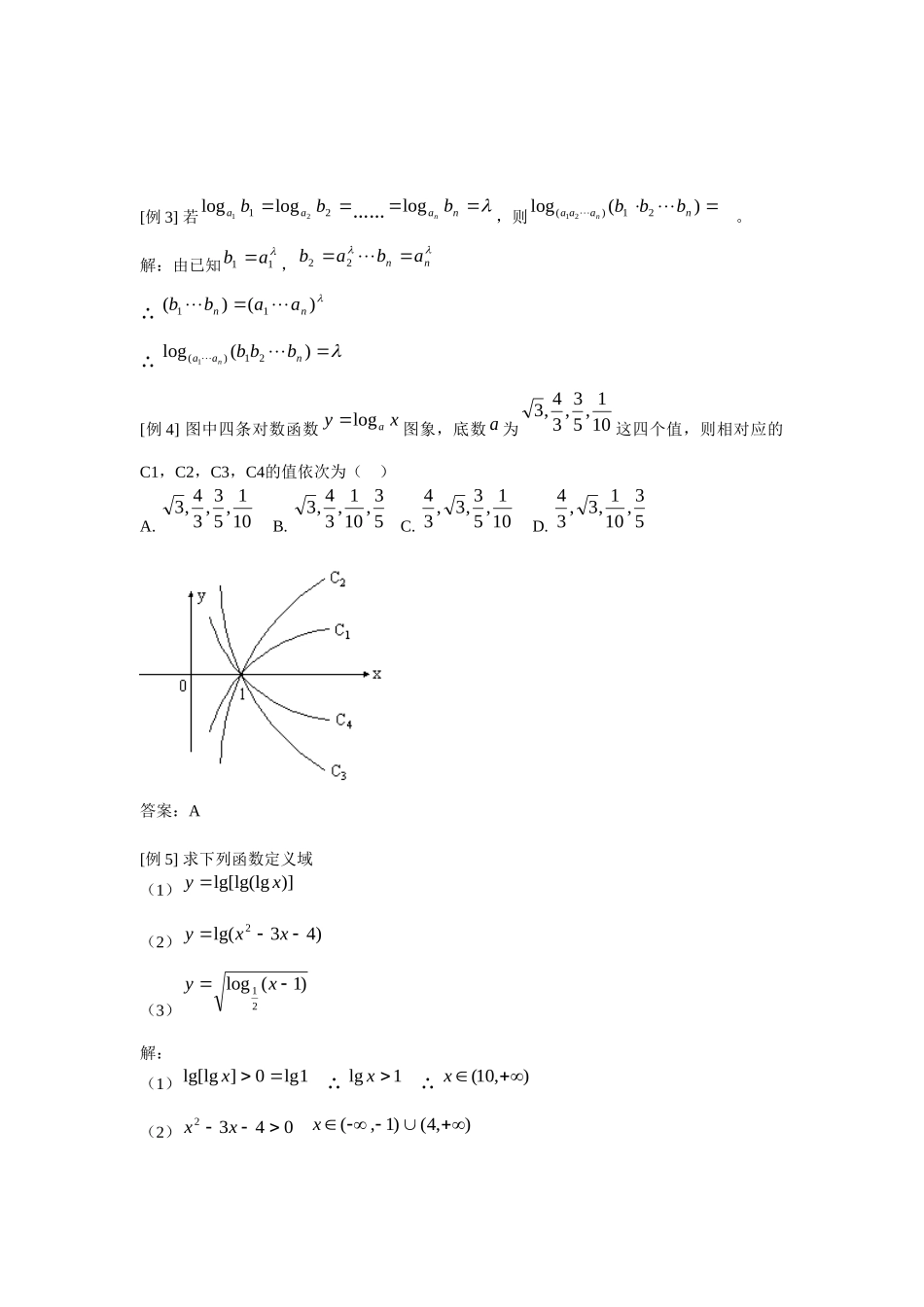
第二节对数函数一.教学内容:对数运算、对数函数二.重点、难点:1.对数运算0,0,1,1,0,0NMbaba(1)xNalogNax(2)01loga(3)1logaa(4)NaNalog(5)NMNMaaaloglog)(log(6)NMNMaaalogloglog(7)MxMaxaloglog(8)aMMbbalog/loglog(9)bxybayaxloglog(10)1loglogabba2.对数函数xyalog,0a且1a定义域(,0)值域R单调性)1,0(a),1(a奇偶性非奇非偶过定点(1,0)图象xyalog与xya1log关于x轴对称【典型例题】[例1]求值(1)7log3)91(;(2)4log20log23log2log15151515;(3)18log3log2log)2(log66626;(4)81log16log329;(5))2log2(log)5log5)(log3log3(log2559384;(6)2)2(lg50lg2lg25lg。解:(1)原式491733)3(27log7log27log22333(2)原式115log15(3)原式18log)3log2(log2log6666236log18log2log666(4)原式58)3log54()2log24(23(5)原式815)2log23()5log23()3log65(532(6)原式)2lg50(lg2lg25lg2100lg2lg225lg[例2]若zyx,,满足)](log[loglog)](log[loglog33132212yx0)](log[loglog5515z,试比较zyx、、的大小关系。解: 0)](log[loglog2212x∴1)(loglog221x21log2x612182x同理613193y616z∴zxy[例3]若2121loglogbbaa……nabnlog,则)(log21)(21naaabbbn。解:由已知11ab,nnabab22∴)()(11nnaabb∴)(log21)(1naabbbn[例4]图中四条对数函数xyalog图象,底数a为101,53,34,3这四个值,则相对应的C1,C2,C3,C4的值依次为()A.101,53,34,3B.53,101,34,3C.101,53,3,34D.53,101,3,34答案:A[例5]求下列函数定义域(1))]lg[lg(lgxy(2))43lg(2xxy(3))1(log21xy解:(1)1lg0]lg[lgx∴1lgx∴),10(x(2)0432xx),4()1,(x(3)110x]2,1(x[例6]求下列函数的增区间(1)1log2xy(2))82(log221xxy解:(1)ty2log1xt),1()1,(∴)(xfy在(,1)(2)ty21log822xxt),4()2,(∴)(xfy在)2,([例7]研究函数)1(log)(22xxxfy的定义域、值域、奇偶性、单调性。解:(1)xxxx221∴012xx∴定义域为R(2)Rx),0(12xx∴Ry为值域(3))1(log)](1)([log)(2222xxxxxf)()1(log11log12222xfxxxx∴奇函数(4)),0(x时,xxxxy11log)1(log2222xxt112ty2log∴)(xfy在),0(上 奇函数∴)(xfy为R上[例8]已知)1,0(x,0a且1a,试比较)1(logxa与)1(logxa的大小关系。解:(1))1,0(a时,)1(log)1(logxxaa0)1(log)1(log)1(log2xxxaaa(2)),1(a时,)1(log)1(logxxaa)1(log)1(logxxaa0)1(log2xa综上所述,)1(log)1(logxxaa[例9]函数)34(log)(22kxkxxfy(1)若定义域为R,求k的取值范围。(2)若值域为R,求k的取值范围。解:(1)0k时,3log2yRx4300121602kkkk∴)43,0[k(2)0121602kkk),43[k【模拟试题】(答题时间:30分钟)1.求值:(1)2log5)1251(;(2)8lg5.0lg215lg4lg;(3))2log3(log)6)(log6(lg3232;(4)6lg26lg)6(lg3lg2lg62。2.正实数yx,满足zyx643(1)求证:yxz2111(2)比较yyx6,4,3的大小关系3.已知a2log3,b2log5试用ba,表示90log304.),1(dx,xad2log,2logxbd,)(loglogxcdd,试比较cba,,大小关系。5.若12aba,则baabbaabbalog,log,log,log的大小关系是。6.1mn,试比较nmlog与nm2log2的大小关系。7.研究函数)1(log)(xaaxfy(0a且1a)的定义域及单调性。【试题答案】1.(1)8558log)2log(355(2)原式1lglg22(3)2)2log3(...

1、当您付费下载文档后,您只拥有了使用权限,并不意味着购买了版权,文档只能用于自身使用,不得用于其他商业用途(如 [转卖]进行直接盈利或[编辑后售卖]进行间接盈利)。
2、本站所有内容均由合作方或网友上传,本站不对文档的完整性、权威性及其观点立场正确性做任何保证或承诺!文档内容仅供研究参考,付费前请自行鉴别。
3、如文档内容存在违规,或者侵犯商业秘密、侵犯著作权等,请点击“违规举报”。

碎片内容

第二节对数函数新课教学用

您可能关注的文档

精品文档+ 关注
实名认证
内容提供者

中小学学习资料大全

确认删除?
VIP
微信客服
  • 扫码咨询
会员Q群
  • 会员专属群点击这里加入QQ群
客服邮箱
回到顶部