电脑桌面
添加小米粒文库到电脑桌面
安装后可以在桌面快捷访问

备战高考数学考试万能工具包 第二篇 考前必看解题技巧 专题2.2 套用18个解题模板-人教版高三全册数学试题VIP免费

备战高考数学考试万能工具包 第二篇 考前必看解题技巧 专题2.2 套用18个解题模板-人教版高三全册数学试题_第1页
1/38
备战高考数学考试万能工具包 第二篇 考前必看解题技巧 专题2.2 套用18个解题模板-人教版高三全册数学试题_第2页
2/38
备战高考数学考试万能工具包 第二篇 考前必看解题技巧 专题2.2 套用18个解题模板-人教版高三全册数学试题_第3页
3/38
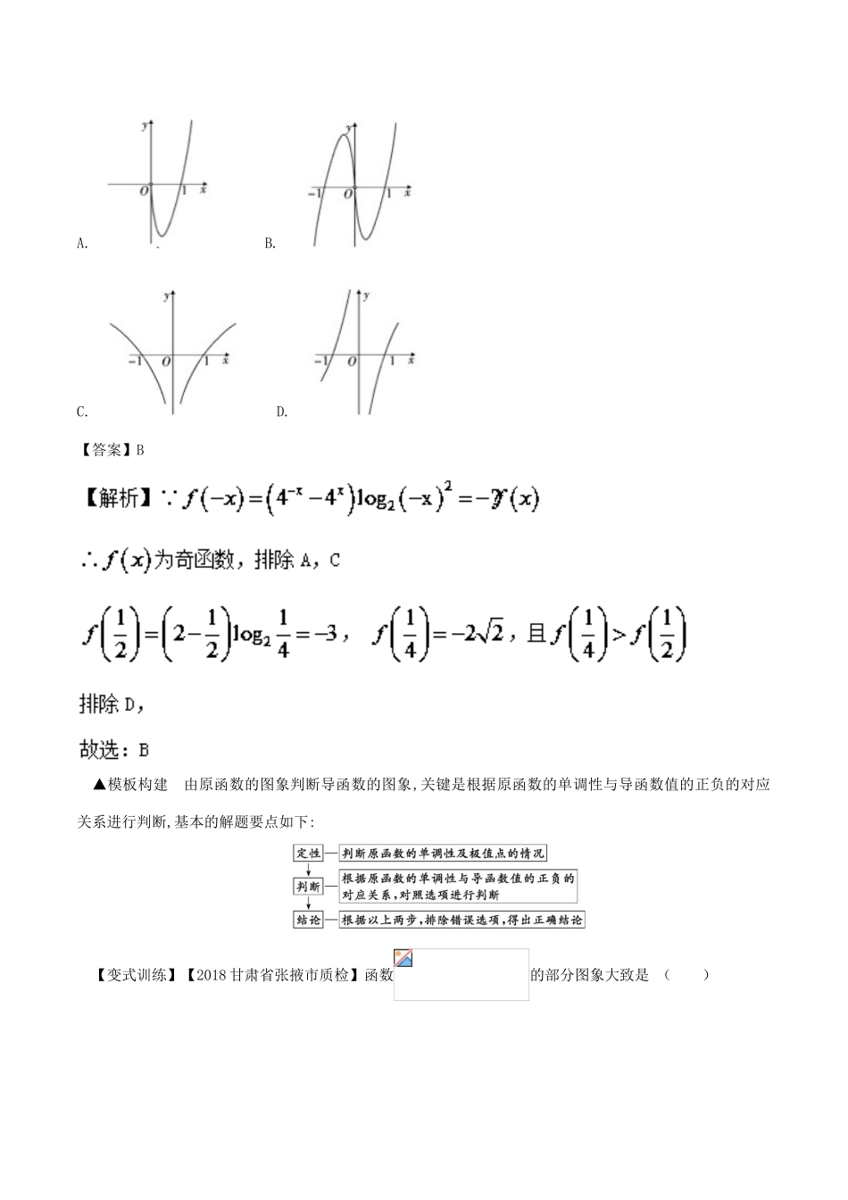
专题02套用18个解题模板模板一求函数值例1已知函数f(x)的定义域为R.当x<0时,f(x)=x3-1;当-1≤x≤1时,f(-x)=-f(x);当时,,则f(6)等于()A.-2B.-1C.0D.2【答案】D▲模板构建已知函数解析式求函数值,常伴随对函数的单调性、奇偶性、周期性和对称性的考查,其解题思路如下:【变式训练】【2018山西省太原市实验中学模拟】奇函数f(x)的定义域为R,若f(x+1)为偶函数,且f(1)=2,则f(8)+f(5)的值为()A.2B.1C.-1D.-2模板二函数的图象例2【2018江西省K12联盟质量检测】函数的图象大致为()A.B.C.D.【答案】B▲模板构建由原函数的图象判断导函数的图象,关键是根据原函数的单调性与导函数值的正负的对应关系进行判断,基本的解题要点如下:【变式训练】【2018甘肃省张掖市质检】函数的部分图象大致是()A.B.C.D.模板三函数的零点问题例3函数f(x)=|x-2|-lnx在定义域内的零点可能落在的区间为()A.(0,1)B.(2,3)C.(3,4)D.(4,5)▲模板构建利用零点存在性定理可以根据函数y=f(x)在某个区间端点处函数值的符号来确定零点所在区间.这种方法适用于不需要确定零点的具体值,只需确定其大致范围的问题.基本的解题要点为:【变式训练】【2018南京市、盐城市联考】设函数是偶函数,当x≥0时,=,若函数有四个不同的零点,则实数m的取值范围是________.模板四三角函数的性质例4【2018湖南师范大学附属中学模拟】下列选项中为函数的一个对称中心为()A.B.C.D.【答案】A▲模板构建在利用三角函数的性质求最值或值域时,要注意:(1)先确定函数的定义域;(2)将已知函数化简为y=Asin(ωx+φ)+k的形式时,尽量化成A>0,ω>0的情况;(3)将ωx+φ视为一个整体.解题思路为:【变式训练】【2018辽宁省凌源市模拟】已知函数,当时,函数的最小值与最大值之和为__________.模板五三角函数的图象变换例5将函数的图象上各点的横坐标缩小为原来的,再向右平移φ(φ>0)个单位后得到的图象关于直线对称,则φ的最小值是()A.B.C.D.【答案】D▲模板构建三角函数图象变换的主要类型:在x轴方向上的左、右平移变换,在y轴方向上的上、下平移变换,在x轴或y轴方向上的伸缩变换.其基本步骤如下:【变式训练】【2018湖南省长郡中学模拟】为了得到函数的图象,只需把函数的图象()A.向左平移个单位长度B.向右平移个单位长度C.向左平移个单位长度D.向右平移个单位长度模板六解三角形例6【2018湖南省长沙市第一中学模拟】已知在中,是边上的点,且,,,则的值为()A.B.C.D.【答案】A.▲模板构建利用正弦定理、余弦定理都可以进行三角形的边、角之间的互化,当已知三角形的两边及一边的对角,或已知两角及一角的对边时,可以利用正弦定理求解三角形中的有关量;如果已知三边或两边及其夹角,则可利用余弦定理进行求解.其基本思路如下:【变式训练】【2018河南省南阳市第一中学模拟】在中,内角所对的边分别为.(1)求;(2)若的面积为,求的周长.模板七利用函数性质解不等式例7已知定义在上的偶函数在上递减且,则不等式的解集为__________.【答案】▲模板构建函数性质法主要适用于解决抽象函数对应的不等式问题.其解题要点如下:【变式训练】【2018吉林省实验中模拟】设函数,则使得成立的的取值范围是A.B.C.D.模板八利用基本不等式求最值例8.设正实数x,y,z满足x2-3xy+4y2-z=0,则当取得最大值时,的最大值为________.【答案】1【解析】由x2-3xy+4y2-z=0,得z=x2-3xy+4y2,∴==▲模板构建拼凑法就是将函数解析式进行适当的变形,通过添项、拆项等方法凑成和为定值或积为定值的形式,然后利用基本不等式求最值.应用此法求最值的基本思路如下:【变式训练】已知,且满足,那么的最小值为____.模板九不等式恒成立问题例9【2018河南省中原名校联考】已知函数,当时,恒成立,则实数的取值范围为()A.B.C.D.【答案】C【解析】记函数在上的最小值为:的定义域为..令,得或.①时,对任意的,,在上单调递增,的最小值为②当时,的最小值为;故实数的取值范围为.故选C.▲模板构建分离参数法是求解不等式恒成立问题的常用方法,其解题要点如下:【变式训练】(Ⅰ)设不等式对满足的一切实数的取值都成立,求的取值范围;(Ⅱ)是否存...

1、当您付费下载文档后,您只拥有了使用权限,并不意味着购买了版权,文档只能用于自身使用,不得用于其他商业用途(如 [转卖]进行直接盈利或[编辑后售卖]进行间接盈利)。
2、本站所有内容均由合作方或网友上传,本站不对文档的完整性、权威性及其观点立场正确性做任何保证或承诺!文档内容仅供研究参考,付费前请自行鉴别。
3、如文档内容存在违规,或者侵犯商业秘密、侵犯著作权等,请点击“违规举报”。

碎片内容

备战高考数学考试万能工具包 第二篇 考前必看解题技巧 专题2.2 套用18个解题模板-人教版高三全册数学试题

您可能关注的文档

慧源书店+ 关注
实名认证
内容提供者

从事历史教学,热爱教育,高度负责。

确认删除?
VIP
微信客服
  • 扫码咨询
会员Q群
  • 会员专属群点击这里加入QQ群
客服邮箱
回到顶部