电脑桌面
添加小米粒文库到电脑桌面
安装后可以在桌面快捷访问

专题:椭圆离心率解法大全VIP免费

专题:椭圆离心率解法大全_第1页
1/7
专题:椭圆离心率解法大全_第2页
2/7
专题:椭圆离心率解法大全_第3页
3/7
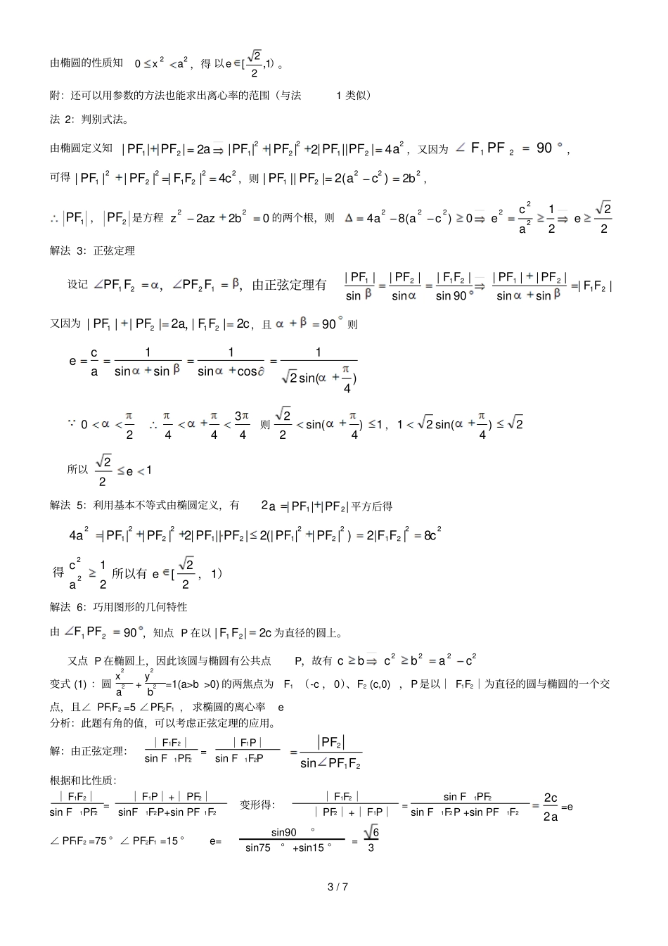
1/7专题:椭圆的离心率一,利用定义求椭圆的离心率(ace或221abe)1,已知椭圆的长轴长是短轴长的2倍,则椭圆的离心率e322,椭圆1422myx的离心率为21,则m[解析]当焦点在x轴上时,32124mm;当焦点在y轴上时,316214mmm,综上316m或33,已知椭圆的焦距、短轴长、长轴长成等差数列,则椭圆的离心率是534,已知m,n,m+n成等差数列,m,n,mn成等比数列,则椭圆122nymx的离心率为[解析]由02222mnnmnnmn42nm,椭圆122nymx的离心率为225,已知)0.0(121nmnm则当mn取得最小值时,椭圆12222nymx的的离心率为236,设椭圆2222byax=1(a>b>0)的右焦点为F1,右准线为l1,若过F1且垂直于x轴的弦的长等于点F1到l1的距离,则椭圆的离心率是21。二,运用几何图形中线段的几何意义结合椭圆的定义求离心率e1,在RtABC中,90A,1ACAB,如果一个椭圆过A、B两点,它的一个焦点为C,另一个焦点在AB上,求这个椭圆的离心率36e2,如图所示,椭圆中心在原点,F是左焦点,直线1AB与BF交于D,且901BDB,则椭圆的离心率为()[解析]eaccacbab221)(2153,以椭圆的右焦点F2为圆心作圆,使该圆过椭圆的中心并且与椭圆交于M、N两点,椭圆的左焦点为F1,直线MF1与圆相切,则椭圆的离心率是132/7变式(1):以椭圆的一个焦点F为圆心作一个圆,使该圆过椭圆的中心O并且与椭圆交于M、N两点,如果∣MF∣=∣MO∣,则椭圆的离心率是134,椭圆x2a2+y2b2=1(a>b>0)的两焦点为F1、F2,以F1F2为边作正三角形,若椭圆恰好平分正三角形的两边,则椭圆的离心率e?解: |F1F2|=2c|BF1|=c|BF2|=3cc+3c=2a∴e=ca=3-1变式(1):椭圆x2a2+y2b2=1(a>b>0)的两焦点为F1、F2,点P在椭圆上,使△OPF1为正三角形,求椭圆离心率?解:连接PF2,则|OF2|=|OF1|=|OP|,∠F1PF2=90°图形如上图,e=3-1变式(2)椭圆x2a2+y2b2=1(a>b>0)的两焦点为F1、F2,AB为椭圆的顶点,P是椭圆上一点,且PF1⊥X轴,PF2∥AB,求椭圆离心率?解: |PF1|=b2a|F2F1|=2c|OB|=b|OA|=aPF2∥AB∴|PF1||F2F1|=ba又 b=a2-c2∴a2=5c2e=55变式(3):将上题中的条件“PF2∥AB”变换为“PO∥AB(O为坐标原点)”相似题:椭圆x2a2+y2b2=1(a>b>0),A是左顶点,F是右焦点,B是短轴的一个顶点,∠ABF=90°,求e?解:|AO|=a|OF|=c|BF|=a|AB|=a2+b2a2+b2+a2=(a+c)2=a2+2ac+c2a2-c2-ac=0两边同除以a2e2+e-1=0e=-1+52e=-1-52(舍去)变式(1):椭圆x2a2+y2b2=1(a>b>0),e=-1+52,A是左顶点,F是右焦点,B是短轴的一个顶点,求∠ABF?点评:此题是上一题的条件与结论的互换,解题中分析各边,由余弦定理解决角的问题。答案:90°引申:此类e=5-12的椭圆为优美椭圆。性质:(1)∠ABF=90°(2)假设下端点为B1,则ABFB1四点共圆。(3)焦点与相应准线之间的距离等于长半轴长。变式(2):椭圆12222byax(a>b>0)的四个顶点为A、B、C、D,若四边形ABCD的内切圆恰好过椭圆的焦点,则椭圆的离心率e=215.提示:内切圆的圆心即原点,半径等于c,又等于直角三角形AOB斜边上的高,∴由面积得:22barab,但cr4,设椭圆)(0ba1byax2222的左、右焦点分别为21FF、,如果椭圆上存在点P,使90PFF21,求离心率e的取值范围。解:设0,cF,0,cF,y,xP21法1:利用椭圆范围。由PFPF21得222cyx,将这个方程与椭圆方程联立,消去y,可解得2222222babacax2222)(eaca。3/7由椭圆的性质知22ax0,得),以122[e。附:还可以用参数的方法也能求出离心率的范围(与法1类似)法2:判别式法。由椭圆定义知||||||||||||PFPFaPFPFPFPFa121222122224,又因为9021PFF,可得222122214||||||cFFPFPF,则)(2||||2221caPFPF22b,1PF,2PF是方程02222bazz的两个根,则22210)(84222222eacecaa解法3:正弦定理设记PFFPFF1221,,由正弦定理有||sinsin||||90sin||sin||sin||21212121FFPFPFFFPFPF又因为cFFaPFPF2||2||||2121,,且90则)4sin(21cossin1sinsin1ace204344则1)4sin(22,2)4sin(21所以122e解法5:利用基本不等式由椭圆定义,有212aPFPF||||平方后得42228212221212221222aPFPFPFPFPFPFFFc||||||||(||||)||得ca2212所以有,)e[221解法6:巧用图形的几何特性由FPF1290,知点P在以||FFc122为直径的圆上。又点P在...

1、当您付费下载文档后,您只拥有了使用权限,并不意味着购买了版权,文档只能用于自身使用,不得用于其他商业用途(如 [转卖]进行直接盈利或[编辑后售卖]进行间接盈利)。
2、本站所有内容均由合作方或网友上传,本站不对文档的完整性、权威性及其观点立场正确性做任何保证或承诺!文档内容仅供研究参考,付费前请自行鉴别。
3、如文档内容存在违规,或者侵犯商业秘密、侵犯著作权等,请点击“违规举报”。

碎片内容

专题:椭圆离心率解法大全

您可能关注的文档

确认删除?
VIP
微信客服
  • 扫码咨询
会员Q群
  • 会员专属群点击这里加入QQ群
客服邮箱
回到顶部