电脑桌面
添加小米粒文库到电脑桌面
安装后可以在桌面快捷访问

平面向量课件VIP免费

平面向量课件_第1页
1/15
平面向量课件_第2页
2/15
平面向量课件_第3页
3/15
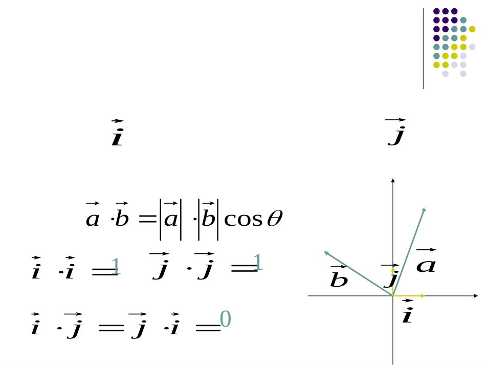
2.4.2平面向量数量积的坐标表示、模、夹角一、复习引入.cos;0)2(cos)1(2babababaaaaaaababa;或我们学过两向量的和与差可以转化为它们相应的坐标来运算,那么怎样用呢?的坐标表示和baba二、新课学习1、平面向量数量积的坐标表示如图,是x轴上的单位向量,是y轴上的单位向量,由于所以ijcosbabaxijyoB(x2,y2)abA(x1,y1)iijjijji...110下面研究怎样用.baba的坐标表示和设两个非零向量=(x1,y1),=(x2,y2),则ab1122112222121221121212,()()axiyjbxiyjabxiyjxiyjxxixyijxyijyyjxxyy故两个向量的数量积等于它们对应坐标的乘积的和。即ijxoB(x2,y2)A(x1,y1)aby.2121yyxxba根据平面向量数量积的坐标表示,向量的数量积的运算可转化为向量的坐标运算。;或aaaaaa2)1(221221221122222))),,(),2,),,()1(yyxxAByxByxAyxayxayxa((则、(设)两点间的距离公式(;或则设向量的模2、向量的模和两点间的距离公式0baba(1)垂直0),,(),,21212211yyxxbayxbyxa则(设3、两向量垂直和平行的坐标表示0//),,(),,12212211yxyxbayxbyxa则(设(2)平行4、两向量夹角公式的坐标运算bababacos1800则),(的夹角为与设0.0.cos)180(0),,(),,222221212222212121212211yxyxyxyxyyxxbayxbyxa,其中则,夹角为与且(设三、基本技能的形成与巩固.),1,1(),32,1((1)1的夹角与,,求已知例babababa.60,1800,21cos)31(2324231babababa,,.),4,2(),3,2((2))()则(已知bababa72013.7)1(740)1,4(),7,0(2222babababababababa)()法二:()()(法一:练习:课本P1071、2、3.例2已知A(1,2),B(2,3),C(-2,5),试判断ABC的形状,并给出证明.A(1,2)B(2,3)C(-2,5)x0y.ABC是直角三角形三角形)1,1()23,12(AB:证明)3,3()25,12(AC031)3(1ACABACAB练习2:以原点和A(5,2)为两个顶点作等腰直角三角形OAB,B=90,求点B的坐标.yBAOx),或(),的坐标为(答案:23272723B四、逆向及综合运用例3(1)已知=(4,3),向量是垂直于的单位向量,求.abab.//)2,1(,102的坐标,求,且)已知(ababa.43)5,(),0,3(3的值求,的夹角为与,且)已知(kbakba.532222222).54,53()54,53(1kbb));(,)或(,)((或)答案:(提高练习的坐标为,则点,,且,、已知CABBCOBACOBOA//)5,0()1,3(1)329,3(C2、已知A(1,2)、B(4、0)、C(8,6)、D(5,8),则四边形ABCD的形状是.矩形3、已知=(1,2),=(-3,2),若k+2与2-4平行,则k=.abaabb-1作业课本P108A组5(1),9,10,11.小结1、理解各公式的正向及逆向运用;2、数量积的运算转化为向量的坐标运算;3、掌握平行、垂直、夹角及距离公式,形成转化技能。

1、当您付费下载文档后,您只拥有了使用权限,并不意味着购买了版权,文档只能用于自身使用,不得用于其他商业用途(如 [转卖]进行直接盈利或[编辑后售卖]进行间接盈利)。
2、本站所有内容均由合作方或网友上传,本站不对文档的完整性、权威性及其观点立场正确性做任何保证或承诺!文档内容仅供研究参考,付费前请自行鉴别。
3、如文档内容存在违规,或者侵犯商业秘密、侵犯著作权等,请点击“违规举报”。

碎片内容

平面向量课件

精品文库+ 关注
实名认证
内容提供者

小学学习各类资料大全

相关文档

确认删除?
VIP
微信客服
  • 扫码咨询
会员Q群
  • 会员专属群点击这里加入QQ群
客服邮箱
回到顶部