电脑桌面
添加小米粒文库到电脑桌面
安装后可以在桌面快捷访问

求数列通项公式地十种方法VIP免费

求数列通项公式地十种方法_第1页
1/9
求数列通项公式地十种方法_第2页
2/9
求数列通项公式地十种方法_第3页
3/9
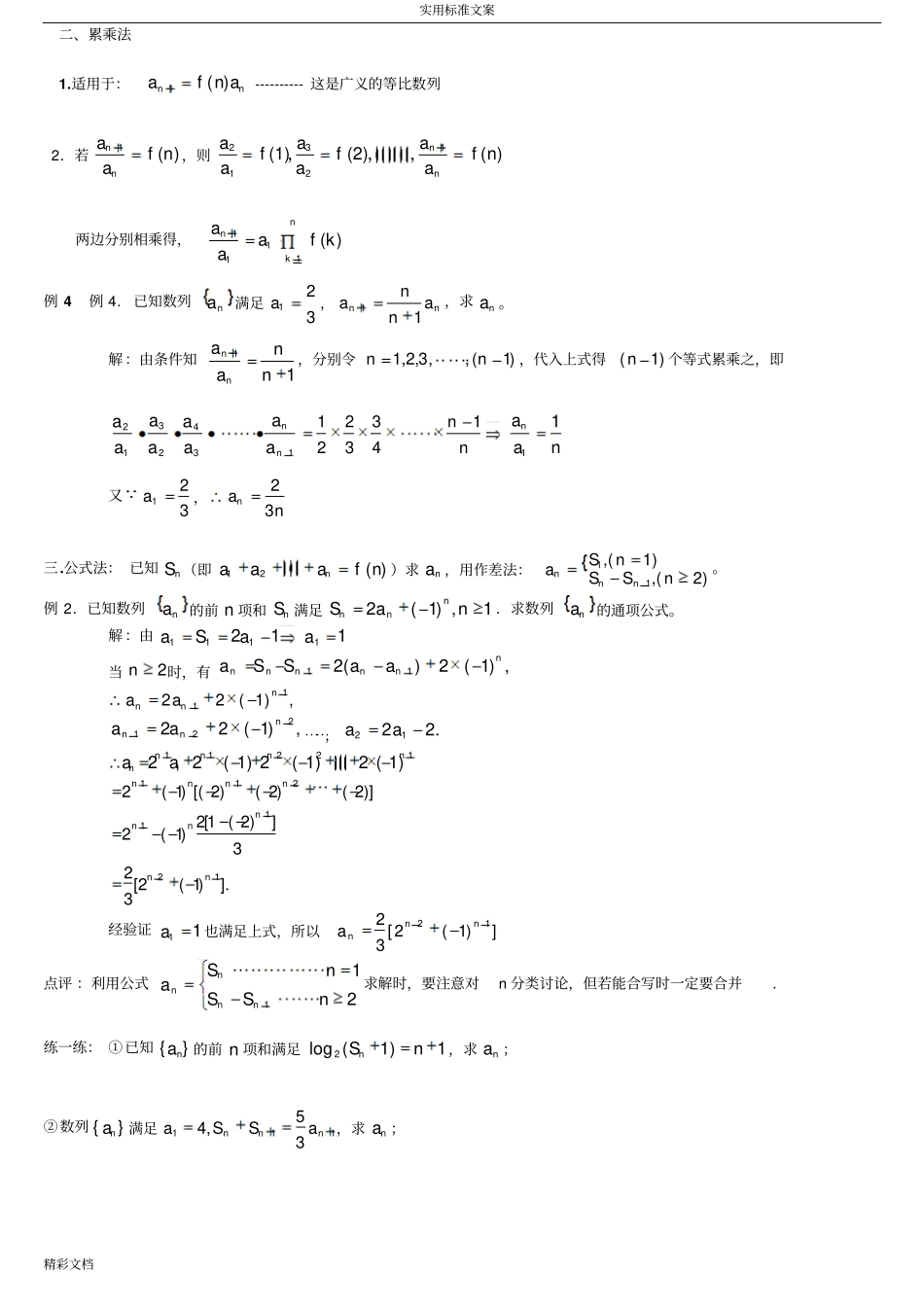
实用标准文案精彩文档总述:求数列通项的方法:累加法、累乘法、待定系数法、阶差法(逐差法)、迭代法、对数变换法、倒数变换法、一、累加法适用于:1()nnaafn转换成1()nnaafn,其中f(n)可以是关于n的一次函数、二次函数、指数函数、分式函数,求通项na.①若f(n)是关于n的一次函数,累加后可转化为等差数列求和;②若f(n)是关于n的二次函数,累加后可分组求和;③若f(n)是关于n的指数函数,累加后可转化为等比数列求和;④若f(n)是关于n的分式函数,累加后可裂项求和。例1已知数列{}na满足11211nnaana,,求数列{}na的通项公式。解:由121nnaan得121nnaan则112322112()()()()[2(1)1][2(2)1](221)(211)12[(1)(2)21](1)1(1)2(1)12(1)(1)1nnnnnaaaaaaaaaannnnnnnnnnn例2已知数列{}na满足112313nnnaaa,,求数列{}na的通项公式。解;由1231nnnaa得1231nnnaa则11232211122112211()()()()(231)(231)(231)(231)32(3333)(1)33(13)2(1)313331331nnnnnnnnnnnnaaaaaaaaaannnn练习1.已知数列na的首项为1,且*12()nnaannN写出数列na的通项公式.答案:12nn练习2.已知数列}{na满足31a,)2()1(11nnnaann,求此数列的通项公式.答案:裂项求和nan12实用标准文案精彩文档二、累乘法1.适用于:1()nnafna----------这是广义的等比数列2.若1()nnafna,则31212(1)(2)()nnaaafffnaaa,,,两边分别相乘得,1111()nnkaafka例4例4.已知数列na满足321a,nnanna11,求na。解:由条件知11nnaann,分别令)1(,,3,2,1nn,代入上式得)1(n个等式累乘之,即1342312nnaaaaaaaann1433221naan11又321a,nan32三.公式法:已知nS(即12()naaafn)求na,用作差法:11,(1),(2)nnnSnaSSn。例2.已知数列na的前n项和nS满足1,)1(2naSnnn.求数列na的通项公式。解:由1121111aaSa当2n时,有,)1(2)(211nnnnnnaaSSa1122(1),nnnaa,)1(22221nnnaa⋯⋯,.2212aa11221122(1)2(1)2(1)nnnnnaa].)1(2[323])2(1[2)1(2)]2()2()2[()1(21211211nnnnnnnnn经验证11a也满足上式,所以])1(2[3212nnna点评:利用公式211nSSnSannnn求解时,要注意对n分类讨论,但若能合写时一定要合并.练一练:①已知{}na的前n项和满足2log(1)1nSn,求na;②数列{}na满足11154,3nnnaSSa,求na;实用标准文案精彩文档四、待定系数法适用于1()nnaqafn基本思路是转化为等差数列或等比数列,而数列的本质是一个函数,其定义域是自然数集的一个函数。1.形如0(,1cdcaann,其中aa1)型(1)若c=1时,数列{na}为等差数列;(2)若d=0时,数列{na}为等比数列;(3)若01且dc时,数列{na}为线性递推数列,其通项可通过待定系数法构造辅助数列来求.待定系数法:设)(1nnaca,得)1(1ccaann,与题设,1dcaann比较系数得dc)1(,所以)0(,1ccd所以有:)1(11cdaccdann因此数列1cdan构成以11cda为首项,以c为公比的等比数列,所以11)1(1nnccdacda即:1)1(11cdccdaann.规律:将递推关系dcaann1化为)1(11cdaccdann,构造成公比为c的等比数列}1{cdan从而求得通项公式)1(1111cdaccdann逐项相减法(阶差法):有时我们从递推关系dcaann1中把n换成n-1有dcaann1,两式相减有)(11nnnnaacaa从而化为公比为c的等比数列}{1nnaa,进而求得通项公式.)(121aacaannn,再利用类型(1)即可求得通项公式.我们看到此方法比较复杂.例6已知数列{}na中,111,21(2)nnaaan,求数列na的通项公式。解法一:121(2),nnaan112(1)nnaa又112,1naa是首项为2,公比为2的等比数列12nna,即21nna实用标准文案精彩文档练习.已知数列}{na中,,2121,211nnaaa求通项na。答案:1)21(1nna2.形如:nnnqapa1(其中q是常数,且n0,1)①若p=1时,即:nnnqaa1,累加即可.②若1p时,即:nnnqapa1,求通项方法有以下三种方向:i.两边同除以1np.目的是把所求数列构造成等差数列即:nnnnnqppqapa)(111,令nnnpab,则nnnqppbb)(11,然后类型1,累加求通项.ii.两边同除以1nq.目的是把所求数列构造成等差数列。即:qqaqpqannnn111,令nnnqab,则可化为qbqpbnn11.然后转化为类型5来解,iii.待定系数法:目的是把所求数列构造成等差数列设)(11nnnnpapqa.通过比较系数,求出,转化为等比数列求通项.注意:应用待定系数法时,要求pq,否则待定系数法会失效。例7已知数...

1、当您付费下载文档后,您只拥有了使用权限,并不意味着购买了版权,文档只能用于自身使用,不得用于其他商业用途(如 [转卖]进行直接盈利或[编辑后售卖]进行间接盈利)。
2、本站所有内容均由合作方或网友上传,本站不对文档的完整性、权威性及其观点立场正确性做任何保证或承诺!文档内容仅供研究参考,付费前请自行鉴别。
3、如文档内容存在违规,或者侵犯商业秘密、侵犯著作权等,请点击“违规举报”。

碎片内容

求数列通项公式地十种方法

文库当当响+ 关注
实名认证
内容提供者

该用户很懒,什么也没介绍

相关文档

确认删除?
VIP
微信客服
  • 扫码咨询
会员Q群
  • 会员专属群点击这里加入QQ群
客服邮箱
回到顶部