电脑桌面
添加小米粒文库到电脑桌面
安装后可以在桌面快捷访问

我国银行卡业务需求影响因素实证分析研究 财务管理专业VIP免费

我国银行卡业务需求影响因素实证分析研究 财务管理专业_第1页
1/11
我国银行卡业务需求影响因素实证分析研究 财务管理专业_第2页
2/11
我国银行卡业务需求影响因素实证分析研究 财务管理专业_第3页
3/11
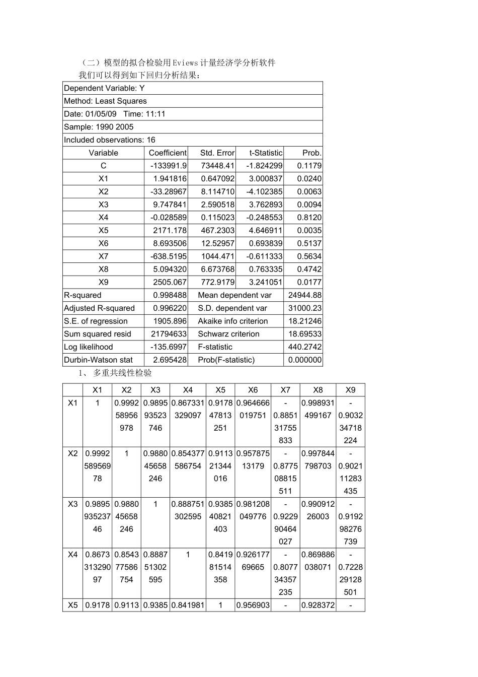
我国银行卡业务需求影响因素实证分析【摘要】银行卡作为一项在西方已发展了几十年的金融业务,具有初始投入少、利润空间大的特点。我国银行卡产业自1985年中国银行发行的第一张“中银卡”以来,近20虽处于初级阶段但发展迅速。在银行卡产业发展过程中,充分了解影响银行卡业务需求的因素,研究银行卡业务需求的变化规律,对进一步拓展银行卡业务经营范围十分重要。本文运用Eviews软件系统,对影响银行卡业务需求的因素进行分析,以揭示银行卡业务的需求特征、发展趋势等重要的影响因素及其变化规律,为商业银行进一步拓展银行卡业务提供经营决策的实证基础。【关键词】银行卡;业务需求;恩格尔系数;实证分析银行卡产业是金融体系的重要组成部分。发展银行卡产业,可以促进个人消费信贷,带动银行个人金融业务的增长。同时,有利于方便人民群众生活,扩大社会消费,促进社会信息化和国民经济发展。最近几年,我国银行卡产业在人民银行的组织领导下,取得了一系列突破性的进展,中国正在成为最具发展潜力的银行卡产业大国。一、我国银行卡发展现状我国银行卡产业经过20年的发展,目前已经达到了相当的规模,并进入了一个快速发展的阶段。从1985年中国银行率先发行银行卡以来,各商业银行纷纷推出功能多样的银行卡。银行卡产业迅速发展着:从无到有、从小到大,从单一功能到综合功能,从封闭经营到联网经营。总的来说,目前,银行卡产业发展机制已经日趋成熟,市场参与主体不断壮大,整个产业正在进入发展新时期。(1)银行卡联网通用基本实现,截至2004年底,全国共有348个地级以上城市和336个县级城市的联网通用。(2)市场规模不断扩大。在发卡方面,发卡机构从2000年底的55家增加到了2004年底的152家,发卡量从2.77亿张增加到了7.7亿张。各发卡银行还与其他有关机构推出了各种联名卡、认同卡,大大丰富了银行卡品种。在受理方面,在人民银行的组织协调下,各地政府积极推动当地市场建设,我国银行卡受理市场取得快速发展,特约商户从2000年底的10万户增加到目前的30.6万户,POS机从29万台增加到47万多台,ATM机从3.7万台增加到6.9万台。(3)国际化迈出实质性步伐。2004年,先后开通了银联人民币卡在香港和澳门的受理业务,2005年,又开通了银联人民币卡在新加坡、泰国、韩国的受理业务,银联卡真正走出国门。(4)支付产品及渠道创新逐步加快。到2004年底,ATM跨行转账业务开通机具达1.3万台,手机支付业务在13个城市开通,柜面通业务在8个省市展开,同时,网上支付、固定电话支付等新业务也不断推出。第五,产业化发展体系初步形成。各商业银行纷纷借鉴国际经验,建立银行卡中心,专业化经营银行卡业务。同时,各类第三方专业化服务机构也迅速发展,初步形成了以银行卡经营为核心,涵盖发卡、收单、信息转接、专业化服务及机具制造等业务的产业发展格局和较为完善的银行卡支付产业链。可以说,随着市场的全面对外开放,我国银行卡产业将融入全球银行卡市场,成为全球市场的组成部分,并将不可避免地受到全球银行卡市场变化的影响。但是在我国银行卡产业面临困难和挑战的同时,也迎来了不可多得的发展机遇。我国经济的持续增长、居民收入的迅速增加、全球最大的潜在持卡人群体,这都将为我国银行卡产业发展提供巨大的市场空间。2008年北京举办"数字奥运"和2010年上海世博会,也将成为一个很好的机会。而目前,在银行卡市场中,有诸多因素会对银行卡业务需求产生影响,如GDP、人均储蓄余额、城镇居民家庭可支配收入、银行服务环境、政策环境、信息化程度、卡功能等。因此,本文通过对银行卡业务需求实证分析,找出影响银行卡需求的变量,希望能通过对此分析,找出其中规律,以扩大业务经营。三、模型的建立本文通过选取1990年至2005年的相关数据作为样本。表1银行卡业务需求模型的时间序列表年份银行卡业务需求(以发卡业务衡量)Y中国GDP总量X1人均GDPX2中国人均储蓄余额X3储蓄存款余额X4储蓄存款活期所占比例X5农村居民家庭人均可支配收入绝对数X6农村居民家庭恩格尔系数X7城镇居民家庭人均可支配收入绝对数X8城镇居民家庭恩格尔系数X919901818547.91634622.9922.817322.558.81...

1、当您付费下载文档后,您只拥有了使用权限,并不意味着购买了版权,文档只能用于自身使用,不得用于其他商业用途(如 [转卖]进行直接盈利或[编辑后售卖]进行间接盈利)。
2、本站所有内容均由合作方或网友上传,本站不对文档的完整性、权威性及其观点立场正确性做任何保证或承诺!文档内容仅供研究参考,付费前请自行鉴别。
3、如文档内容存在违规,或者侵犯商业秘密、侵犯著作权等,请点击“违规举报”。

碎片内容

我国银行卡业务需求影响因素实证分析研究 财务管理专业

文章天下+ 关注
实名认证
内容提供者

各种文档应有尽有

确认删除?
VIP
微信客服
  • 扫码咨询
会员Q群
  • 会员专属群点击这里加入QQ群
客服邮箱
回到顶部