电脑桌面
添加小米粒文库到电脑桌面
安装后可以在桌面快捷访问

2014年普通高等学校招生全国统一考试新课标1卷(数学理)VIP免费

2014年普通高等学校招生全国统一考试新课标1卷(数学理)_第1页
1/14
2014年普通高等学校招生全国统一考试新课标1卷(数学理)_第2页
2/14
2014年普通高等学校招生全国统一考试新课标1卷(数学理)_第3页
3/14
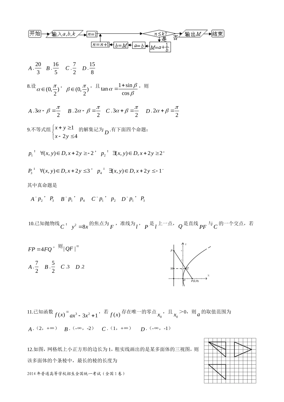
第1页共14页2014年普通高等学校招生全国统一考试(全国1卷)数学(理工类)第Ⅰ卷一.选择题:共12小题,每小题5分,共60分。在每个小题给出的四个选项中,只有一项是符合题目要求的一项。1.已知集合A={x|2230xx},B=22xx,则AB=A.[-2,-1]B.[-1,2)C.[-1,1]D.[1,2)2.32(1)(1)ii=A.1iB.1iC.1iD.1i3.设函数()fx,()gx的定义域都为R,且()fx是奇函数,()gx是偶函数,则下列结论正确的是A.()fx()gx是偶函数B.|()fx|()gx是奇函数C.()fx|()gx|是奇函数D.|()fx()gx|是奇函数4.已知F是双曲线C:223(0)xmymm的一个焦点,则点F到C的一条渐近线的距离为A.3B.3C.3mD.3m5.4位同学各自在周六、周日两天中任选一天参加公益活动,则周六、周日都有同学参加公益活动的概率A.18B.38C.58D.786.如图,圆O的半径为1,A是圆上的定点,P是圆上的动点,角x的始边为射线OA,终边为射线OP,过点P作直线OA的垂线,垂足为M,将点M到直线OP的距离表示为x的函数()fx,则y=()fx在[0,]上的图像大致为7.执行下图的程序框图,若输入的,,abk分别为1,2,3,则输出的M=2014年普通高等学校招生全国统一考试(全国1卷)第2页共14页A.203B.165C.72D.1588.设(0,)2,(0,)2,且1sintancos,则A.32B.22C.32D.229.不等式组124xyxy的解集记为D.有下面四个命题:1p:(,),22xyDxy,2p:(,),22xyDxy,3P:(,),23xyDxy,4p:(,),21xyDxy.其中真命题是A.2p,3PB.1p,4pC.1p,2pD.1p,3P10.已知抛物线C:28yx的焦点为F,准线为l,P是l上一点,Q是直线PF与C的一个交点,若4FPFQ�,则||QF=A.72B.52C.3D.211.已知函数()fx=3231axx,若()fx存在唯一的零点0x,且0x>0,则a的取值范围为A.(2,+∞)B.(-∞,-2)C.(1,+∞)D.(-∞,-1)12.如图,网格纸上小正方形的边长为1,粗实线画出的是某多面体的三视图,则该多面体的个条棱中,最长的棱的长度为2014年普通高等学校招生全国统一考试(全国1卷)第3页共14页A.62B.42C.6D.4第Ⅱ卷本卷包括必考题和选考题两个部分。第(13)题-第(21)题为必考题,每个考生都必须作答。第(22)题-第(24)题为选考题,考生根据要求作答。二.填空题:本大题共四小题,每小题5分。13.8()()xyxy的展开式中22xy的系数为.(用数字填写答案)14.甲、乙、丙三位同学被问到是否去过A,B,C三个城市时,甲说:我去过的城市比乙多,但没去过B城市;乙说:我没去过C城市;丙说:我们三人去过同一个城市.由此可判断乙去过的城市为.15.已知A,B,C是圆O上的三点,若1()2AOABAC�,则AB�与AC�的夹角为.16.已知,,abc分别为ABC的三个内角,,ABC的对边,a=2,且(2)(sinsin)()sinbABcbC,则ABC面积的最大值为.三.解答题:解答应写出文字说明,证明过程或演算步骤。17.(本小题满分12分)已知数列{na}的前n项和为nS,1a=1,0na,11nnnaaS,其中为常数.(Ⅰ)证明:2nnaa;(Ⅱ)是否存在,使得{na}为等差数列?并说明理由.18.(本小题满分12分)从某企业的某种产品中抽取500件,测量这些产品的一项质量指标值,由测量结果得如下频率分布直方图:2014年普通高等学校招生全国统一考试(全国1卷)第4页共14页(Ⅰ)求这500件产品质量指标值的样本平均数x和样本方差2s(同一组数据用该区间的中点值作代表);(Ⅱ)由频率分布直方图可以认为,这种产品的质量指标值Z服从正态分布2(,)N,其中近似为样本平均数x,2近似为样本方差2s.(i)利用该正态分布,求(187.8212.2)PZ;(ii)某用户从该企业购买了100件这种产品,记X表示这100件产品中质量指标值为于区间(187.8,212.2)的产品件数,利用(i)的结果,求EX.附:150≈12.2.若Z~2(,)N,则()PZ=0.6826,(22)PZ=0.9544.19.(本小题满分12分)如图三棱柱111ABCABC中,侧面11BBCC为菱形,1ABBC.(Ⅰ)证明:1ACAB;(Ⅱ)若1ACAB,o160CBB,AB=BC求二面角111AABC的余弦值.20.(本小题满分12分)已知点A(0,-2...

1、当您付费下载文档后,您只拥有了使用权限,并不意味着购买了版权,文档只能用于自身使用,不得用于其他商业用途(如 [转卖]进行直接盈利或[编辑后售卖]进行间接盈利)。
2、本站所有内容均由合作方或网友上传,本站不对文档的完整性、权威性及其观点立场正确性做任何保证或承诺!文档内容仅供研究参考,付费前请自行鉴别。
3、如文档内容存在违规,或者侵犯商业秘密、侵犯著作权等,请点击“违规举报”。

碎片内容

2014年普通高等学校招生全国统一考试新课标1卷(数学理)

您可能关注的文档

状元书阁+ 关注
实名认证
内容提供者

爱好英语教学和互联网行业,热爱教育事业,兢兢业业

确认删除?
VIP
微信客服
  • 扫码咨询
会员Q群
  • 会员专属群点击这里加入QQ群
客服邮箱
回到顶部