电脑桌面
添加小米粒文库到电脑桌面
安装后可以在桌面快捷访问

高二数学 解不等式一 知识精讲 人教版VIP免费

高二数学 解不等式一 知识精讲 人教版_第1页
1/5
高二数学 解不等式一 知识精讲 人教版_第2页
2/5
高二数学 解不等式一 知识精讲 人教版_第3页
3/5
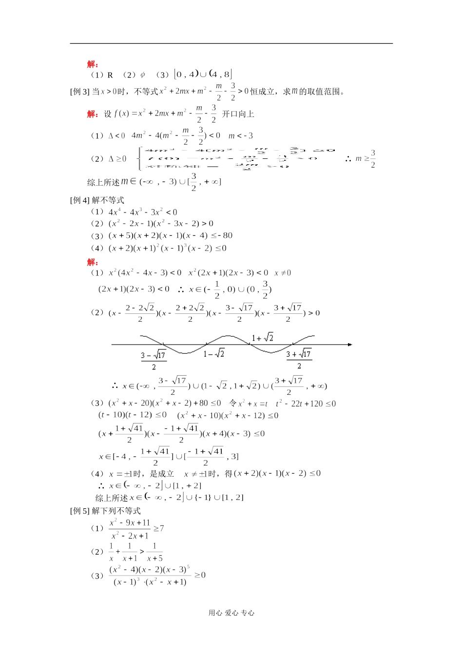
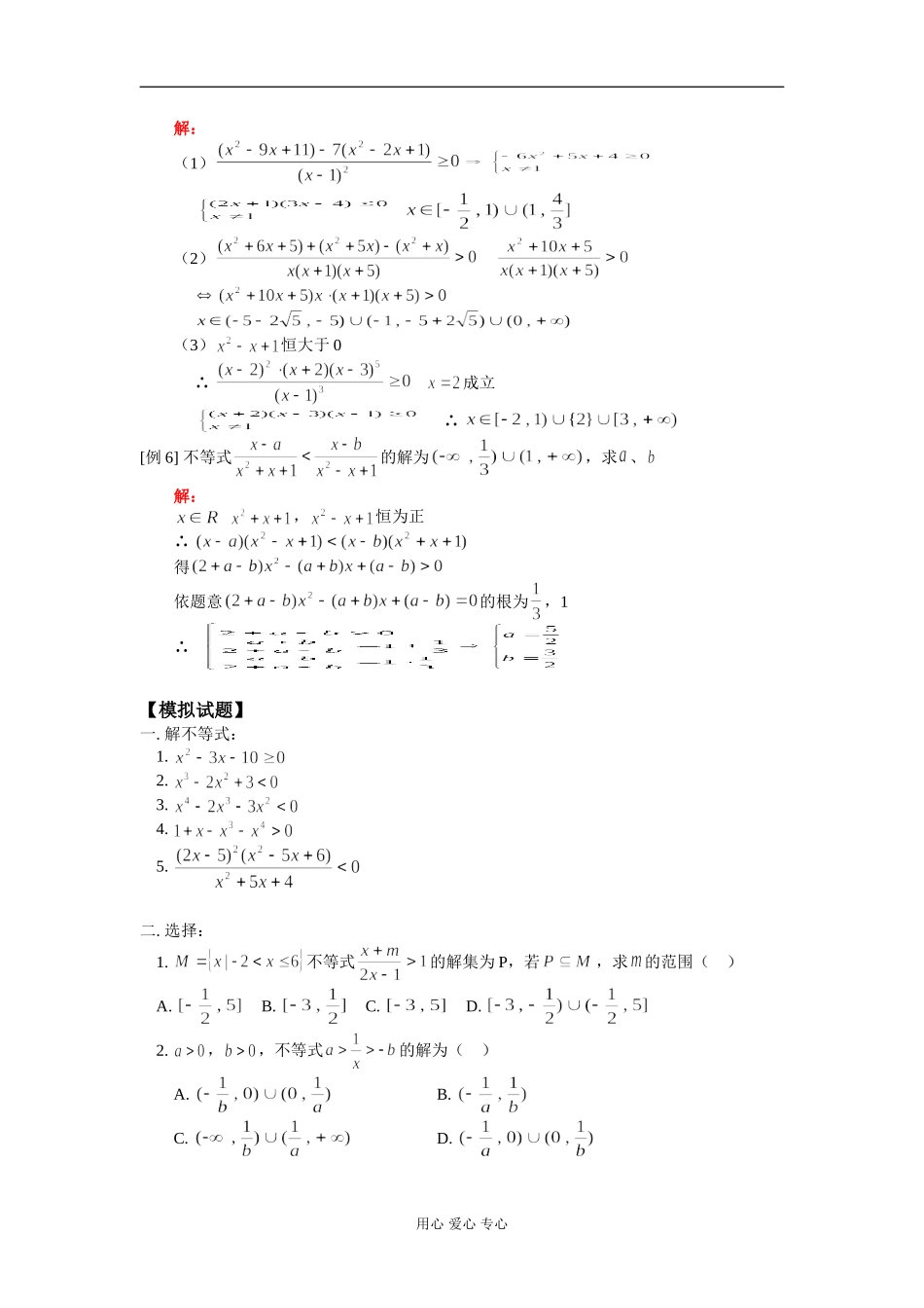
高二数学解不等式一知识精讲人教版一.本周教学内容:解不等式一二.重点、难点:1.一元一次不等式(1),解为(2),解为(3)2.一元二次不等式()(1)(2)3.高次不等式因式分解,序轴标根……曲线在轴上方的部分的对应的点的横坐标是不等式的解。4.分式不等式(通分,同解变形)将分式不等转化为高次不等式【典型例题】[例1]已知不等式与不等式同解,解不等式。解:,∴的解为∴中∴解由题意∴代入所求:∴[例2]解不等式(1)(2)(3)用心爱心专心解:(1)R(2)(3)[例3]当时,不等式恒成立,求的取值范围。解:设开口向上(1)(2)∴综上所述[例4]解不等式(1)(2)(3)(4)解:(1)∴(2)∴(3)令(4)时,是成立时,得∴综上所述[例5]解下列不等式(1)(2)(3)用心爱心专心解:(1)(2)(3)恒大于0∴成立∴[例6]不等式的解为,求、解:,恒为正∴得依题意的根为,1∴【模拟试题】一.解不等式:1.2.3.4.5.二.选择:1.不等式的解集为P,若,求的范围()A.B.C.D.2.,,不等式的解为()A.B.C.D.用心爱心专心三.解答题:1.已知的解为,解不等式。2.为何值时,不等式解为R。用心爱心专心[参考答案]一.1.2.3.4.5.二.1.C2.C三.1.解:由已知∴∴代入得∵∴2.解:令函数(1)(2)(3)综上所述:用心爱心专心

1、当您付费下载文档后,您只拥有了使用权限,并不意味着购买了版权,文档只能用于自身使用,不得用于其他商业用途(如 [转卖]进行直接盈利或[编辑后售卖]进行间接盈利)。
2、本站所有内容均由合作方或网友上传,本站不对文档的完整性、权威性及其观点立场正确性做任何保证或承诺!文档内容仅供研究参考,付费前请自行鉴别。
3、如文档内容存在违规,或者侵犯商业秘密、侵犯著作权等,请点击“违规举报”。

碎片内容

高二数学 解不等式一 知识精讲 人教版

雨丝书吧+ 关注
实名认证
内容提供者

乐于和他人分享知识,从事历史教学,热爱教育,高度负责。

相关文档

确认删除?
VIP
微信客服
  • 扫码咨询
会员Q群
  • 会员专属群点击这里加入QQ群
客服邮箱
回到顶部