电脑桌面
添加小米粒文库到电脑桌面
安装后可以在桌面快捷访问

三年高考(-)高考数学真题分项汇编 专题07 平面解析几何(选择题、填空题)理(含解析)-人教版高三全册数学试题VIP免费

三年高考(-)高考数学真题分项汇编 专题07 平面解析几何(选择题、填空题)理(含解析)-人教版高三全册数学试题_第1页
1/30
三年高考(-)高考数学真题分项汇编 专题07 平面解析几何(选择题、填空题)理(含解析)-人教版高三全册数学试题_第2页
2/30
三年高考(-)高考数学真题分项汇编 专题07 平面解析几何(选择题、填空题)理(含解析)-人教版高三全册数学试题_第3页
3/30
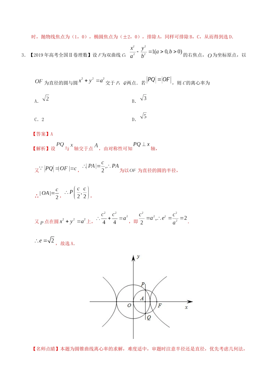
专题07平面解析几何(选择题、填空题)1.【2019年高考全国Ⅰ卷理数】已知椭圆C的焦点为,过F2的直线与C交于A,B两点.若,,则C的方程为A.B.C.D.【答案】B【解析】法一:如图,由已知可设,则,由椭圆的定义有.在中,由余弦定理推论得.在中,由余弦定理得,解得.所求椭圆方程为,故选B.法二:由已知可设,则,由椭圆的定义有.在和中,由余弦定理得,又互补,,两式消去,得,解得.所求椭圆方程为,故选B.【名师点睛】本题考查椭圆标准方程及其简单性质,考查数形结合思想、转化与化归的能力,很好地落实了直观想象、逻辑推理等数学素养.2.【2019年高考全国Ⅱ卷理数】若抛物线y2=2px(p>0)的焦点是椭圆的一个焦点,则p=A.2B.3C.4D.8【答案】D【解析】因为抛物线的焦点是椭圆的一个焦点,所以,解得,故选D.【名师点睛】本题主要考查抛物线与椭圆的几何性质,渗透逻辑推理、运算能力素养.解答时,利用抛物线与椭圆有共同的焦点即可列出关于的方程,从而解出,或者利用检验排除的方法,如时,抛物线焦点为(1,0),椭圆焦点为(±2,0),排除A,同样可排除B,C,从而得到选D.3.【2019年高考全国Ⅱ卷理数】设F为双曲线C:的右焦点,为坐标原点,以为直径的圆与圆交于P,Q两点.若,则C的离心率为A.B.C.2D.【答案】A【解析】设与轴交于点,由对称性可知轴,又,为以为直径的圆的半径,∴,,又点在圆上,,即.,故选A.【名师点睛】本题为圆锥曲线离心率的求解,难度适中,审题时注意半径还是直径,优先考虑几何法,避免代数法从头至尾运算繁琐,准确率大大降低,双曲线离心率问题是圆锥曲线中的重点问题,需强化练习,才能在解决此类问题时事半功倍,信手拈来.解答本题时,准确画图,由图形对称性得出P点坐标,代入圆的方程得到c与a的关系,可求双曲线的离心率.4.【2019年高考全国Ⅲ卷理数】双曲线C:=1的右焦点为F,点P在C的一条渐近线上,O为坐标原点,若,则△PFO的面积为A.B.C.D.【答案】A【解析】由,又P在C的一条渐近线上,不妨设为在上,则,,故选A.【名师点睛】本题考查以双曲线为载体的三角形面积的求法,渗透了直观想象、逻辑推理和数学运算素养.采取公式法,利用数形结合、转化与化归和方程思想解题.忽视圆锥曲线方程和两点间的距离公式的联系导致求解不畅,采取列方程组的方式解出三角形的高,便可求三角形面积.5.【2019年高考北京卷理数】已知椭圆(a>b>0)的离心率为,则A.a2=2b2B.3a2=4b2C.a=2bD.3a=4b【答案】B【解析】椭圆的离心率,化简得,故选B.【名师点睛】本题考查椭圆的标准方程与几何性质,属于容易题,注重基础知识基本运算能力的考查、.由题意利用离心率的定义和的关系可得满足题意的等式.6.【2019年高考北京卷理数】数学中有许多形状优美、寓意美好的曲线,曲线C:就是其中之一(如图).给出下列三个结论:①曲线C恰好经过6个整点(即横、纵坐标均为整数的点);②曲线C上任意一点到原点的距离都不超过;③曲线C所围成的“心形”区域的面积小于3.其中,所有正确结论的序号是A.①B.②C.①②D.①②③【答案】C【解析】由得,,,所以可取的整数有0,−1,1,从而曲线恰好经过(0,1),(0,−1),(1,0),(1,1),(1−,0),(1−,1),共6个整点,结论①正确.由得,,解得,所以曲线上任意一点到原点的距离都不超过.结论②正确.如图所示,易知,四边形的面积,很明显“心形”区域的面积大于,即“心形”区域的面积大于3,说法③错误.故选C.【名师点睛】本题考查曲线与方程曲线的几何性质,基本不等式及其应用,属于难题,注重基础知识、、基本运算能力及分析问题、解决问题的能力考查,渗透“美育思想”.将所给方程进行等价变形确定x的范围可得整点坐标和个数,结合均值不等式可得曲线上的点到坐标原点距离的最值和范围,利用图形的对称性和整点的坐标可确定图形面积的范围.7.【2019年高考天津卷理数】已知抛物线的焦点为,准线为,若与双曲线的两条渐近线分别交于点和点,且(为原点),则双曲线的离心率为A.B.C.D.【答案】D【解析】抛物线的准线的方程为,双曲线的渐近线方程为,则有,∴,,,...

1、当您付费下载文档后,您只拥有了使用权限,并不意味着购买了版权,文档只能用于自身使用,不得用于其他商业用途(如 [转卖]进行直接盈利或[编辑后售卖]进行间接盈利)。
2、本站所有内容均由合作方或网友上传,本站不对文档的完整性、权威性及其观点立场正确性做任何保证或承诺!文档内容仅供研究参考,付费前请自行鉴别。
3、如文档内容存在违规,或者侵犯商业秘密、侵犯著作权等,请点击“违规举报”。

碎片内容

三年高考(-)高考数学真题分项汇编 专题07 平面解析几何(选择题、填空题)理(含解析)-人教版高三全册数学试题

确认删除?
VIP
微信客服
  • 扫码咨询
会员Q群
  • 会员专属群点击这里加入QQ群
客服邮箱
回到顶部