电脑桌面
添加小米粒文库到电脑桌面
安装后可以在桌面快捷访问

高考数学 应考能力大提升9.1VIP免费

高考数学 应考能力大提升9.1_第1页
1/4
高考数学 应考能力大提升9.1_第2页
2/4
高考数学 应考能力大提升9.1_第3页
3/4
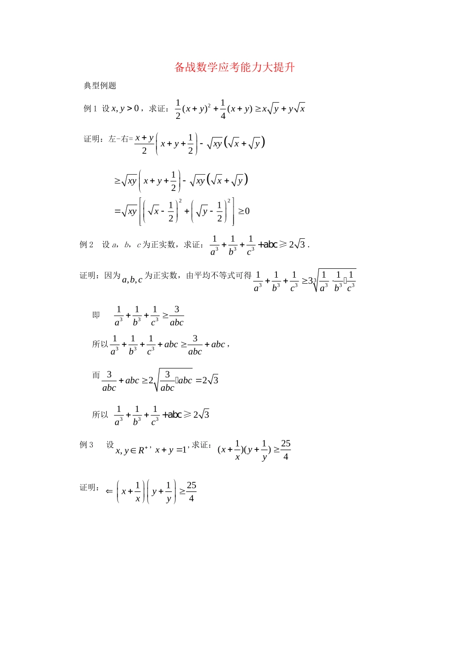
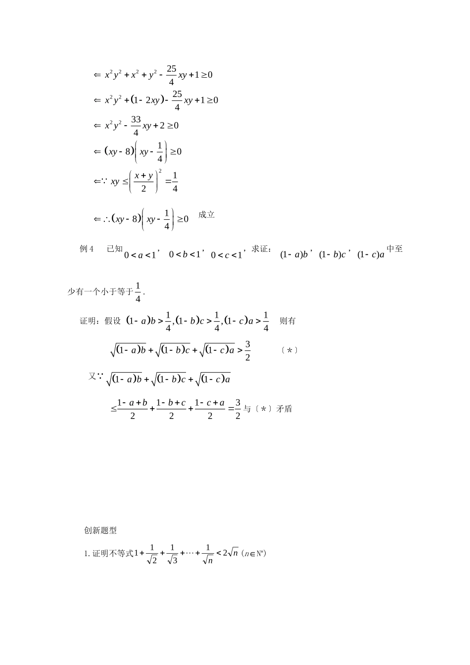
备战数学应考能力大提升典型例题例1设,0xy,求证:211()()24xyxyxyyx证明:左-右=122xyxyxyxy221211022xyxyxyxyxyxy例2设a,b,c为正实数,求证:33311123abc+abc≥.证明:因为,,abc为正实数,由平均不等式可得33333331111113abcabc即3331113abcabc所以3331113abcabcabcabc,而33223abcabcabcabc所以33311123abc+abc≥例3设,xyR,1xy,求证:1125()()4xyxy证明:11254xyxy222222222251042512104332041804124xyxyxyxyxyxyxyxyxyxyxyxy1804xyxy成立例4已知01a,01b,01c,求证:(1)ab,(1)bc,(1)ca中至少有一个小于等于14.证明:假设1111,1,1444abbcca则有31112abbcca〔*〕又∵111abbcca11132222abbcca与〔*〕矛盾创新题型1.证明不等式nn2131211(n∈N*)2.设1223......(1)nSnn,求证:(1)(2)22nnnnnS()nN参考答案1.证明:(1)当n等于1时,不等式左端等于1,右端等于2,所以不等式成立;(2)假设n=k(k≥1)时,不等式成立,即1+k13121<2k,,1211)1(11)1(21121131211kkkkkkkkkk则∴当n=k+1时,不等式成立.综合(1)、(2)得:当n∈N*时,都有1+n13121<2n.

1、当您付费下载文档后,您只拥有了使用权限,并不意味着购买了版权,文档只能用于自身使用,不得用于其他商业用途(如 [转卖]进行直接盈利或[编辑后售卖]进行间接盈利)。
2、本站所有内容均由合作方或网友上传,本站不对文档的完整性、权威性及其观点立场正确性做任何保证或承诺!文档内容仅供研究参考,付费前请自行鉴别。
3、如文档内容存在违规,或者侵犯商业秘密、侵犯著作权等,请点击“违规举报”。

碎片内容

高考数学 应考能力大提升9.1

您可能关注的文档

确认删除?
VIP
微信客服
  • 扫码咨询
会员Q群
  • 会员专属群点击这里加入QQ群
客服邮箱
回到顶部