电脑桌面
添加小米粒文库到电脑桌面
安装后可以在桌面快捷访问

不锈钢法兰规格表VIP免费

不锈钢法兰规格表_第1页
1/6
不锈钢法兰规格表_第2页
2/6
不锈钢法兰规格表_第3页
3/6
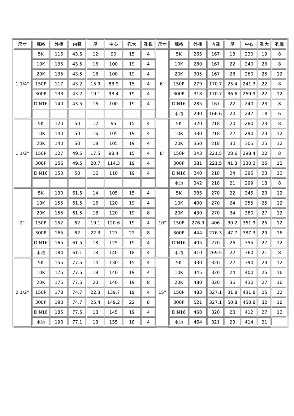
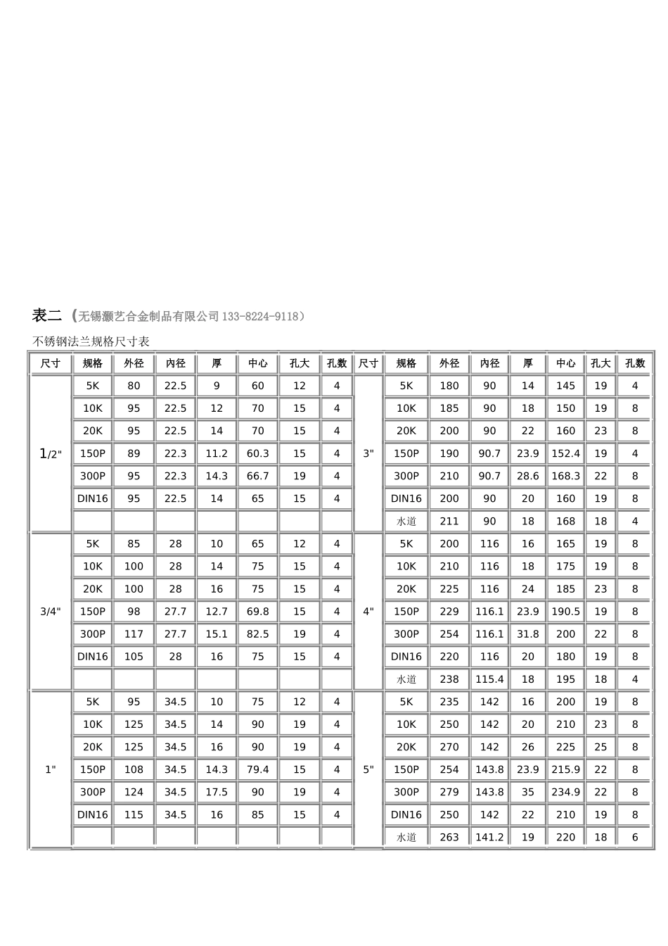
表一(无锡灏艺合金制品有限公司133-8224-9118)常用法兰规格尺寸表(国标)GB9119,2—88GB9119,2—88in公称通径10kg=1.0MPa公称通径16kg=1.6MPa法兰外径螺栓孔距螺栓直径螺栓孔数法兰厚度法兰外径螺栓孔距螺栓直径螺栓孔数法兰厚度3/8DN10506014414DN109060144141/2DN15596514414DN159565144143/4DN201057514416DN2010575144161DN251158514416DN25115851441611/4DN3214010018418DN321401001841811/2DN4015011018418DN40150110184182DN5016512518420DN501651251842021/2DN6518514518420DN65185145184203DN8020016018820DN802001601882031/2DN10022018018822DN100220180188224DN12525021018822DN125250210188225DN15028524022824DN150285240228246DN20034029522824DN200340295228268DN250395350221226DN25040535526122910DN300445400221228DN30046041026123212DN350505460221630DN35052047026163514DN400565515261632DN40058052530163816DN450615565262035DN45064058530204218DN500670620262038DN50071565033204620DN600780725262042DN600840770362052表二(无锡灏艺合金制品有限公司133-8224-9118)不锈钢法兰规格尺寸表尺寸规格外径內径厚中心孔大孔数尺寸规格外径內径厚中心孔大孔数1/2"5K8022.59601243"5K180901414519410K9522.5127015410K185901815019820K9522.5147015420K2009022160238150P8922.311.260.3154150P19090.723.9152.4194300P9522.314.366.7194300P21090.728.6168.3228DIN169522.51465154DIN162009020160198水道21190181681843/4"5K852810651244"5K2001161616519810K10028147515410K2101161817519820K10028167515420K22511624185238150P9827.712.769.8154150P229116.123.9190.5198300P11727.715.182.5194300P254116.131.8200228DIN16105281675154DIN1622011620180198水道238115.4181951841"5K9534.510751245"5K2351421620019810K12534.5149019410K2501422021023820K12534.5169019420K27014226225258150P10834.514.379.4154150P254143.823.9215.9228300P12434.517.590194300P279143.835234.9228DIN1611534.51685154DIN1625014222210198水道263141.219220186尺寸规格外径內径厚中心孔大孔数尺寸规格外径內径厚中心孔大孔数11/4"5K11543.512901546"5K2651671823019810K13543.51610019410K2801672224023820K13543.51810019420K305167282602512150P11743.215.988.9154150P279170.725.4241.3228300P13343.219.198.4194300P318170.736.6269.92212DIN1614043.516100194DIN1628516722240238水道290166.62024718611/2"5K1205012951548"5K3202182028023810K140501610519410K33021822290231220K140501810519420K350218303052512150P12749.517.598.4154150P343221.528.6298.4228300P15649.520.7114.3194300P381221.541.3330.22512DIN161505016110194DIN16340218242952312水道342218212991882"5K13061.51410515410"5K38527022345231210K15561.51612019410K40027024355251220K15561.51812019820K430270343802712150P1526219.1120.6194150P276.340630.2361.92512300P1656222.3127228300P444276.347.7387.32916DIN1616561.518125194DIN16405270263552712水道18461.118140184水道410269.52236021821/2"5K15577.51413015415"5K43032022390231210K17577.51814019410K44532024400251620K17577.52014019820K480320364302716150P17874.722.3139.7194150P483327.131.8431.82512300P19074.725.4149.2228300P521327.150.8450.83216DIN1618577.518145194DIN16460320284122712水道19377.118155184水道4643212341421法兰类型及密封面类型法兰类型代号法兰类型PL板式平焊法兰SO带颈平焊法兰WN带颈对焊法兰IF整体法兰SW承插焊法兰TH螺纹法兰PJ/SE对焊环松套法兰PJ/RJ平焊环松套法兰BL法兰盖BL(S)衬里法兰盖

1、当您付费下载文档后,您只拥有了使用权限,并不意味着购买了版权,文档只能用于自身使用,不得用于其他商业用途(如 [转卖]进行直接盈利或[编辑后售卖]进行间接盈利)。
2、本站所有内容均由合作方或网友上传,本站不对文档的完整性、权威性及其观点立场正确性做任何保证或承诺!文档内容仅供研究参考,付费前请自行鉴别。
3、如文档内容存在违规,或者侵犯商业秘密、侵犯著作权等,请点击“违规举报”。

碎片内容

不锈钢法兰规格表

您可能关注的文档

确认删除?
VIP
微信客服
  • 扫码咨询
会员Q群
  • 会员专属群点击这里加入QQ群
客服邮箱
回到顶部