电脑桌面
添加小米粒文库到电脑桌面
安装后可以在桌面快捷访问

九年级数学第一学期二次根式单元测试卷试卷VIP免费

九年级数学第一学期二次根式单元测试卷试卷_第1页
1/3
九年级数学第一学期二次根式单元测试卷试卷_第2页
2/3
九年级数学第一学期二次根式单元测试卷试卷_第3页
3/3
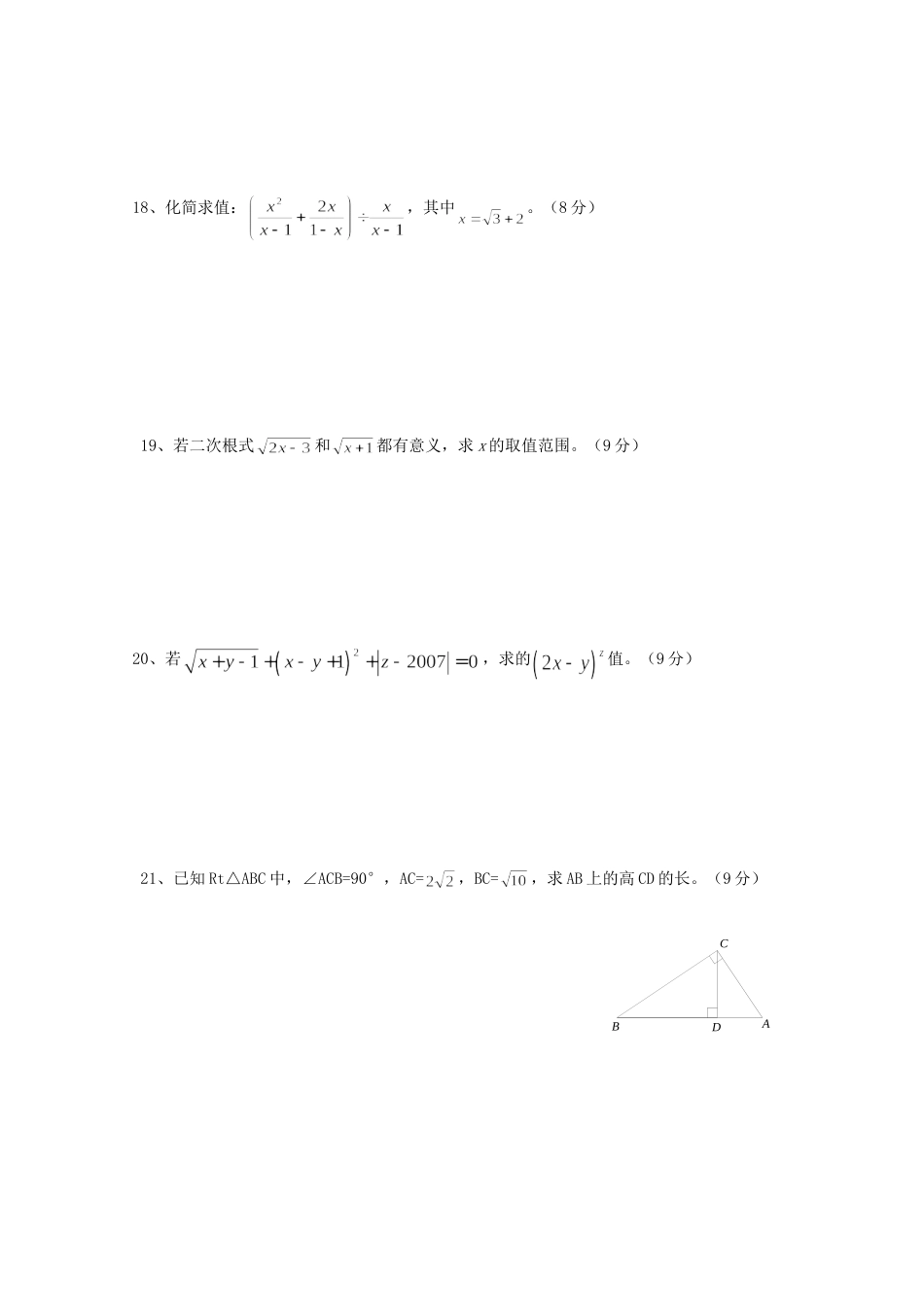
二次根式单元测试题班级:姓名:成绩:一、选择题(本大题共12小题,每小题3分,共30分)1、若式子有意义,则x的取值范围是()A、x≥2B、x≠3C、x>2且x≠3D、x≥2且x≠32、下列根式是最简二次根式的是()A、B、C、D、3、化简:=()A、xyB、yC、xD、4、已知直角三角形的两边长分别是4和6,则第三边长是()A、2B、2或C、10D、5、下列四个算式,其中不一定成立的是()①;②;③(ab>0);④A、①②③④B、②③④C、①③D、①6、下列各式与不是同类二次根式的是()A、B、C、D、7、计算:=()A、B、1C、D、58、化简:=()A、B、C、D、29、若是整数,则正整数n的最大值是()A、4B、6C、7D、810、若最简二次根式与是同类二次根式,则a的值为()A、3B、-1C、1D、211、下列计算正确的是()A、B、C、D、12、在那两个整数之间()A、在2和3之间B、在3和4之间C、在4和5之间D、在5和6之间二、填空题(本大题共7个空,每空3分,共21分)13、计算:①=;②=。③=14、化简:①=;②=(a>0,b>0)15、若,则x=。16、化简:①=;②=。三、解答题(本大题共小题,满分49分)17、计算:①②-——③18、化简求值:,其中。(8分)19、若二次根式和都有意义,求x的取值范围。(9分)20、若,求的值。(9分)21、已知Rt△ABC中,∠ACB=90°,AC=,BC=,求AB上的高CD的长。(9分)DCBA

1、当您付费下载文档后,您只拥有了使用权限,并不意味着购买了版权,文档只能用于自身使用,不得用于其他商业用途(如 [转卖]进行直接盈利或[编辑后售卖]进行间接盈利)。
2、本站所有内容均由合作方或网友上传,本站不对文档的完整性、权威性及其观点立场正确性做任何保证或承诺!文档内容仅供研究参考,付费前请自行鉴别。
3、如文档内容存在违规,或者侵犯商业秘密、侵犯著作权等,请点击“违规举报”。

碎片内容

九年级数学第一学期二次根式单元测试卷试卷

确认删除?
VIP
微信客服
  • 扫码咨询
会员Q群
  • 会员专属群点击这里加入QQ群
客服邮箱
回到顶部