电脑桌面
添加小米粒文库到电脑桌面
安装后可以在桌面快捷访问

四川省雅安市高三数学第三次诊断性考试理科试卷VIP免费

四川省雅安市高三数学第三次诊断性考试理科试卷_第1页
1/12
四川省雅安市高三数学第三次诊断性考试理科试卷_第2页
2/12
四川省雅安市高三数学第三次诊断性考试理科试卷_第3页
3/12
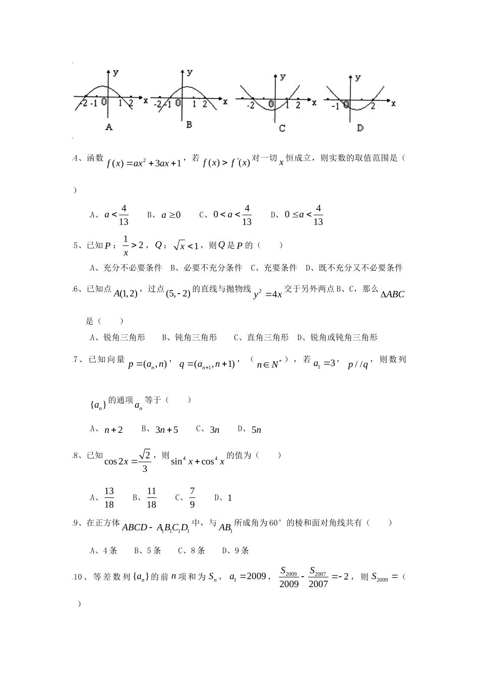
雅安市2009年高三第三次诊断性考试理科数学试题本试卷分第Ⅰ卷(选择题)和第Ⅱ卷(非选择题)两部分。第Ⅰ卷1至2页。第Ⅱ卷3至8页。考试结束后,将本试卷和答题卡一并交回。第Ⅰ卷注意事项:1.答第Ⅰ卷前,考生务必将自己的姓名、准考证号、考试科目涂写在答题卡上。2.每小题选出答案后,用铅笔把答题卡上对应题目的答案标号涂黑。如需改动,用橡皮擦干净后,再选涂其它答案标号。不能答在试题卷上。3.本卷共12小题,每小题5分,共60分。在每小题给出的四个选项中,只有一项是符合题目要求的。参考公式:如果事件A、B互斥,那么球的表面积公式()()()PABPAPB24SR如果事件A、B相互独立,那么其中R表示球的半径()()()PABPAPB球的体积公式如果事件A在一次试验中发生的概率是P,那么343VRn次独立重复试验中恰好发生k次的概率其中R表示球的半径()(1)kknknnPkCPP一、选择题:1、设全集UR,集合{|2}Axx,集合{|3}Bxx,则()UCAB=()A、{|23}xxB、{|2}xxC、{|3}xxD{|2}xx2、点(1,2)A在直线cos240xy的()A、上方B、下方C、线上D、位置视而定3、若2()fxaxxc,且不等式()0fx的解集为(2,1),则函数()yfx的图象为()4、函数2()31fxaxax,若()()fxfx对一切x恒成立,则实数的取值范围是()A、413aB、0aC、4013aD、4013a5、已知P:12x,Q:1x,则Q是P的()A、充分不必要条件B、必要不充分条件C、充要条件D、既不充分又不必要条件6、已知点(1,2)A,过点(5,2)的直线与抛物线24yx交于另外两点B、C,那么ABC是()A、锐角三角形B、钝角三角形C、直角三角形D、锐角或钝角三角形7、已知向量(,)npan�,1(,1)nqan,(*nN),若13a,//pq�,则数列{}na的通项na等于()A、2nB、35nC、3nD、5n8、已知2cos23x,则44sincosxx的值为()A、1318B、1118C、79D、19、在正方体1111ABCDABCD中,与1AB所成角为60°的棱和面对角线共有()A、4条B、5条C、8条D、9条10、等差数列{}na的前n项和为nS,12009a,20092007220092007SS,则2009S()A、2007B、2008C、2009D、201011、若xA,则1Ax,就称A是伙伴关系集合,集合11{1,0,,,1,2,3,4}32M的所有非空子集中,具有伙伴关系的集合的个数为()A、15B、16C、82D、5212、从1,2,3,4,5,6,7,8,9,10这10个号码中任意抽取3个号码,则所抽取的3个号码中,仅有两个号码是连续整数的概率为()A、715B、815C、813D、713第Ⅱ卷二、填空题:本大题共4小题,每小题4分,共16分,把答案填在横线上。13、数1iii的模长是。14、知()|3||2|fxxx的最小值为n,则31()2nxx的展开式中的常数项是(数字作答).15、平面直角坐标系xoy中,已知平面区域{(,)|1,0,0}Axyxyxy且,{(,)|(,)}BxyxyxyA,则平面区域B的面积为。16、上面四个图中,点P、Q、R、S分别在正方体的四条棱上,并且是所在棱的中点,则PQ,RS是异面直线的序号有。三、解答题:本大题共6小题,共74分,解答应写出文字说明,证明过程或演算步骤。17、(12分)已知向量(cos,sin)OAa�,(2cos,2sin)OBb�,(0,2)OCc�,其中O为坐标原点,且02。(1)若()aba,求的值;(2)若2OBOC�,3OAOC�,求OAB的面积S。18、(12分)某公司开展摸奖游戏,一个口袋中装有n个红球(5n)和4个白球,一次从中摸出两个球,两个球的颜色不同即为中奖.(1)试用n表示一次摸奖中奖的概率p;(2)若5n,求三次摸奖(每次摸奖后放回)恰有两次中奖的概率;(3)若三次摸奖(每次摸奖后放回)中奖的次数的数学期望为85,试求n的值.19、(12分)如图两个边长为2的正方形ABCD和ADEF所在平面互相垂直,M、N分别是AE、AB上的点,且M、N不重合。(1)求证:MNFD;(2)当M、N是AE、AB中点时,求A到平面DMN距离。20、(12分)如果一个数列的各项都是实数,且从第二项开始,每一项与它前一项的平方差是相同的常数,则称该数列为等方差数列,这个常数叫这个数列的公方差.(1)设数列{}na是公方...

1、当您付费下载文档后,您只拥有了使用权限,并不意味着购买了版权,文档只能用于自身使用,不得用于其他商业用途(如 [转卖]进行直接盈利或[编辑后售卖]进行间接盈利)。
2、本站所有内容均由合作方或网友上传,本站不对文档的完整性、权威性及其观点立场正确性做任何保证或承诺!文档内容仅供研究参考,付费前请自行鉴别。
3、如文档内容存在违规,或者侵犯商业秘密、侵犯著作权等,请点击“违规举报”。

碎片内容

四川省雅安市高三数学第三次诊断性考试理科试卷

星河书苑+ 关注
实名认证
内容提供者

从事历史教学,热爱教育,高度负责。

确认删除?
VIP
微信客服
  • 扫码咨询
会员Q群
  • 会员专属群点击这里加入QQ群
客服邮箱
回到顶部