电脑桌面
添加小米粒文库到电脑桌面
安装后可以在桌面快捷访问

信号处理中傅里叶变换简介VIP免费

信号处理中傅里叶变换简介_第1页
1/16
信号处理中傅里叶变换简介_第2页
2/16
信号处理中傅里叶变换简介_第3页
3/16
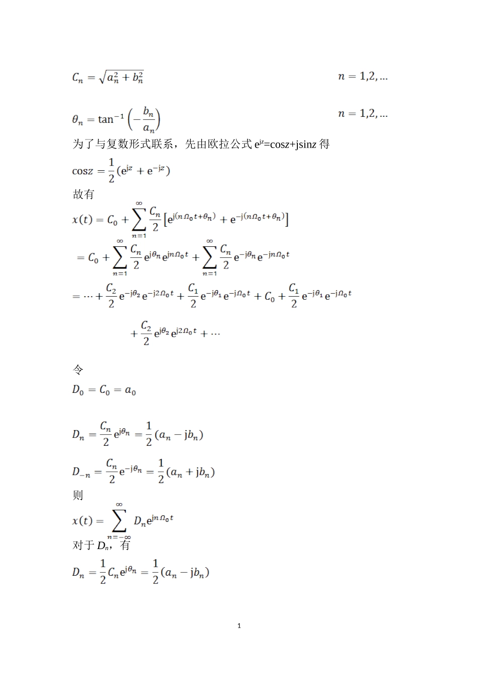
傅里叶变换一、傅里叶变换的表述在数学上,对任意函数f(x),可按某一点进行展开,常见的有泰勒展开和傅里叶展开。泰勒展开为各阶次幂函数的线性组合形式,本质上自变量未改变,仍为x,而傅里叶展开则为三角函数的线性组合形式,同时将自变量由x变成ω,且由于三角函数处理比较简单,具有良好的性质,故被广泛地应用在信号分析与处理中,可将时域分析变换到频域进行分析。信号分析与处理中常见的有CFS(连续时间傅里叶级数)、CFT(连续时间傅里叶变换)、DTFT(离散时间傅里叶变换)、DFS(离散傅里叶级数)、DFT(离散傅里叶变换)。通过对连续非周期信号xc(t)在时域和频域进行各种处理变换,可推导出以上几种变换,同时可得出这些变换之间的关系。以下将对上述变换进行简述,同时分析它们之间的关系。1、CFS(连续时间傅里叶级数)在数学中,周期函数f(x)可展开为由此类比,已知连续周期信号x(t),周期为T0,则其傅里叶级数为其中,为了简写,有其中,为了与复数形式联系,先由欧拉公式ejz=cosz+jsinz得故有令则对于Dn,有1n≤0时同理。故CFS图示如下:Figure1理论上,CFS对于周期性信号x(t)在任意处展开都可以做到无误差,只要保证n从-∞取到+∞就可以。在实践中,只要n取值范围足够大,就可以保证在某一点附近对x(t)展开都有很高的精度。2、CFT(连续时间傅里叶变换)连续非周期信号x(t),可以将其看成一连续周期信号的周期T0→∞。当然,从时域上也可以反过来看成x(t)的周期延拓。将x(t)进行CFS展开,有若令2则有T0→∞使得Ω0→0,则由此,定义傅里叶变换与其逆变换如下CFT:CFT-1:x(t)是信号的时域表现形式,X(jΩ)是信号的频域表现形式,二者本质上是统一的,相互间可以转换。CFT即将x(t)分解,并按频率顺序展开,使其成为频率的函数。上式中,时域自变量t的单位为秒(s),频域自变量Ω的单位为弧度/秒(rad/s)。CFS中的Dn与CFT中的X(jΩ)之间有如下关系即从频域上分析,Dn是对X(jΩ)的采样(可将Figure1与Figure2进行对比)。CFT图示如下:Figure233、DTFT(离散时间傅里叶变换)首先,先从连续信号得到离散信号。用冲激信号序列对连续非周期信号xc(t)进行采样,采样间隔为Ts,有此时的xs(t)还不是真正的离散信号,它只是在满足t=nTs的时间点上有值,在其它时间点上值为零。对xs(t)进行进一步处理有规定则其中,x[n]是最终所得的离散信号。xs(t)自变量为t,其单位为秒s,间隔为TS;x[n]自变量为n,其单位为1,间隔为1。从频域分析上有4其中。令,定义以上式为DTFT定义式。DTFT逆变换为DTFT是在时域上对CFT的采样(图示可见Figure3与Figure4),在DTFT中,时域信号x[n]为离散的,而对应的频域表示X(ejω)为连续的,且有周期ωs=2π。X(ejω)与Xs(jΩ)之间的关系为ω=ΩTsXs(jΩ)中,自变量Ω单位为弧度/秒(rad/s),周期为Ωs=2π/Ts;X(ejω)中,自变量ω单位为弧度(rad),周期为ωs=2π。CFT时域采样图示如下:Figure3DTFT图示如下:Figure454、DFS(离散时间傅里叶级数)在离散时间信号x[n]基础上,用冲激序列对DTFT中的X(ejω)进行采样,采样间隔为Δω=2π/N,则有而S(ω)的逆DTFT变换为对Xs(ejω)进行逆DTFT变换,有6xs[n]相当于对x[n]进行了周期延拓,周期为N=2π/Δω。由上式可得若延拓周期N大于x[n]的时长,则延拓不会发生混叠,于是k为任意整数令周期信号,k为任意整数,则有取ω=2πk/N,令则有是以k为自变量的函数,有以下性质m为任意整数即的周期为N。为了避免重复计算,我们只考虑一个周期N内的7情况,即同时,为时域表示,为频域表示。故定义DFS为其逆变换为8的自变量n单位为1,周期为N;的自变量k单位为1,周期也为N。DFS应用于离散时间周期性信号中,其相当于在频域中对DTFT采样,而对应地在时域中相当于对DTFT进行周期延拓(图示见Figure5与Figure6)。DFS与DTFT的关系为DTFT频域采样图示如下:Figure5DFS图示如下:Figure65、DFT(离散傅里叶变换)在DFS基础上,取离散时间周期性信号的基础上,0,1,2,…N-1这一个周期内的N个点,得其中,RN[n]表示当n=0,1,2,…N-1时函数取值为1,当n取其它值时函数取值为0。定义DFT为其逆变换为9xd[n]的自变量n...

1、当您付费下载文档后,您只拥有了使用权限,并不意味着购买了版权,文档只能用于自身使用,不得用于其他商业用途(如 [转卖]进行直接盈利或[编辑后售卖]进行间接盈利)。
2、本站所有内容均由合作方或网友上传,本站不对文档的完整性、权威性及其观点立场正确性做任何保证或承诺!文档内容仅供研究参考,付费前请自行鉴别。
3、如文档内容存在违规,或者侵犯商业秘密、侵犯著作权等,请点击“违规举报”。

碎片内容

信号处理中傅里叶变换简介

文章天下+ 关注
实名认证
内容提供者

各种文档应有尽有

确认删除?
VIP
微信客服
  • 扫码咨询
会员Q群
  • 会员专属群点击这里加入QQ群
客服邮箱
回到顶部