电脑桌面
添加小米粒文库到电脑桌面
安装后可以在桌面快捷访问

高三数学上学期期中试卷 文 试卷VIP免费

高三数学上学期期中试卷 文 试卷_第1页
1/17
高三数学上学期期中试卷 文 试卷_第2页
2/17
高三数学上学期期中试卷 文 试卷_第3页
3/17
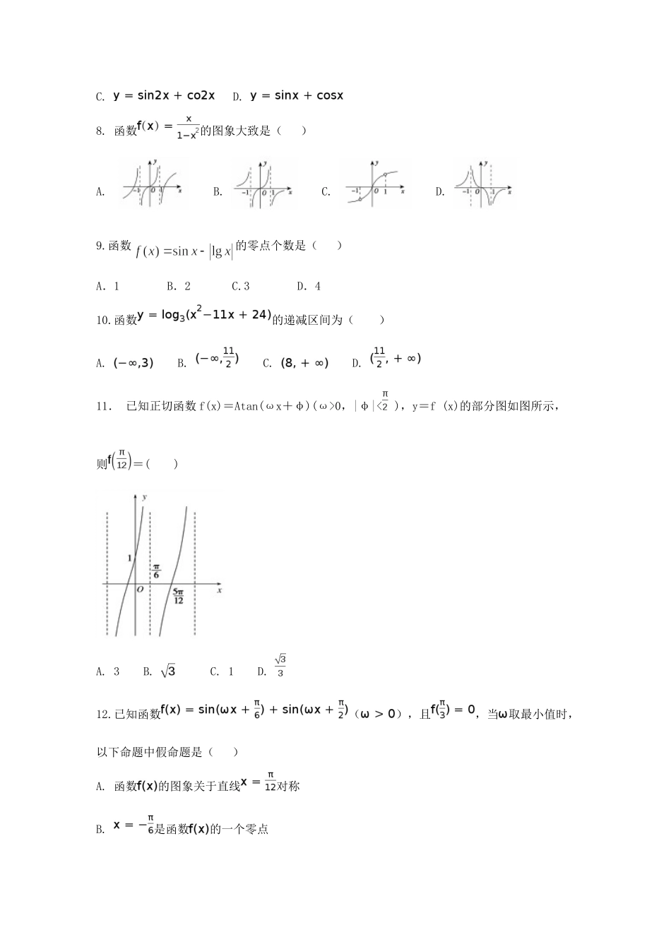
云南省昆明市黄冈实验学校2018届高三数学上学期期中试题文注意:本试卷分第Ⅰ卷(选择题)和第Ⅱ卷(非选择题)两部分。第Ⅰ卷第1页,第Ⅱ卷第1至2页,满分150分,时间120分钟。考试结束后,只交答题卡,试卷本人妥善保存。符合题目要求的)第Ⅰ卷选择题(共60分)一.选择题(共12小题,每小题5分,共60分,在每小题给出的四个选项中,只有一个选项是符合题目要求的)1.已知集合,,则()A.B.C.D.2.已知复数为纯虚数(其中是虚数单位),则的值为()A.2B.C.-2D.3.已知函数满足,且的导函数,则的解集为()A.B.C.D.4.设向量,,.若,则()A.-2B.-3C.D.5.设的内角所对的边分别为,且,则面积的最大值为A.B.C.D.6.若函数满足,且在上单调递增,则实数的最小值为A.B.C.D.7.下列函数中,最小正周期为且图象关于原点对称的函数是()A.B.C.D.8.函数的图象大致是()A.B.C.D.9.函数的零点个数是()A.1B.2C.3D.410.函数的递减区间为()A.B.C.D.11.已知正切函数f(x)=Atan(ωx+φ)(ω>0,|φ|<),y=f(x)的部分图如图所示,则=()A.3B.C.1D.12.已知函数(),且,当取最小值时,以下命题中假命题是()A.函数的图象关于直线对称B.是函数的一个零点C.函数的图象可由的图象向左平移个单位得到D.函数在上是增函数二.填空题(共4小题,每小题5分,共20分)13.已知向量,向量,与共线,则__________.14.设是两个向量,则“”是“”的__________条件.15.设奇函数在上为增函数,且,则不等式的解集为__________.16.已知各项都为正数的等比数列,且满足,若存在两项,使得,则的最小是为________三.解答题(共6小题,第17小题10分,其余各小题12分,共70分.解答应写出必要的文字说明、证明过程或演算步骤)17.(本小题满分10分)已知直线经过点,倾斜角,圆的极坐标方程.(1)写出直线的参数方程,并把圆的方程化为直角坐标方程;(2)设圆上的点到直线的距离最近,点到直线的距离最远,求点的横坐标之积.18.(本小题满分12分)已知函数.(Ⅰ)求的值;(Ⅱ)求函数的单调递增区间.19.(本小题满分12分)在中,角的对边分别为,且.(1)求的值;(2)若,且,求和的值.20.(本小题满分12分)已知中,,.(Ⅰ)若,求;(Ⅱ)若的面积为,求的值.21.已知函数,.(Ⅰ)求函数的单调区间;(Ⅱ)当时,若函数在区间内单调递减,求的取值范围.22.(本小题满分12分)已知函数.(Ⅰ)求曲线在点处的切线方程;(Ⅱ)求函数在上的最大值;(Ⅲ)求证:存在唯一的,使得.昆明黄冈实验学校2017-2018学年度上学期期中考试高三文科数学试题参考答案与试题解析第Ⅰ卷选择题(共60分)三.选择题(共12小题,每小题5分,共60分,在每小题给出的四个选项中,只有一个选项是符合题目要求的)1.已知集合,,则()A.B.C.D.【答案】B【解析】 集合,,∴故选:B2.已知复数为纯虚数(其中是虚数单位),则的值为()A.2B.C.-2D.【答案】C【解析】因为,所以,即,选C3.已知函数满足,且的导函数,则的解集为()A.B.C.D.【答案】D【解析】令,则,∴函数在上单调递减函数, ,∴,即,根据函数在上单调递减函数可知,故选D.4.设向量,,.若,则()A.-2B.-3C.D.【答案】D【解析】因为,,且,所以,即,解得,故选D.5.设的内角所对的边分别为,且,则面积的最大值为A.B.C.D.【答案】B【解析】由三角形的面积公式:,当且仅当时等号成立.则面积的最大值为9.本题选择B选项.6.若函数满足,且在上单调递增,则实数的最小值为A.B.C.D.【答案】C知在单调递减;在单调递增.所以.的最小值为1.故选C.7.下列函数中,最小正周期为且图象关于原点对称的函数是()A.B.C.D.【答案】A8.函数的图象大致是()A.B.C.D.【答案】B【解析】由条件知,函数为奇函数,有定义域得,排除C;当趋向于时,趋向于.当趋向于时,趋向于.排除D;当趋向于时,趋向于.9.函数的零点个数是()A.1B.2C.3D.4【答案】D【解答】解:作出,的图象如图1,由图象知有4个零点,故选D.图110.函数的递减区间为()A.B.C.D.【答案】A【解析】函数的定义域为令,在上单调递减,在上单调递增∴函数的递减区间为故选:A11.已知正切函数f(x...

1、当您付费下载文档后,您只拥有了使用权限,并不意味着购买了版权,文档只能用于自身使用,不得用于其他商业用途(如 [转卖]进行直接盈利或[编辑后售卖]进行间接盈利)。
2、本站所有内容均由合作方或网友上传,本站不对文档的完整性、权威性及其观点立场正确性做任何保证或承诺!文档内容仅供研究参考,付费前请自行鉴别。
3、如文档内容存在违规,或者侵犯商业秘密、侵犯著作权等,请点击“违规举报”。

碎片内容

高三数学上学期期中试卷 文 试卷

确认删除?
VIP
微信客服
  • 扫码咨询
会员Q群
  • 会员专属群点击这里加入QQ群
客服邮箱
回到顶部