电脑桌面
添加小米粒文库到电脑桌面
安装后可以在桌面快捷访问

高考数学数列专题 新课标 人教版VIP免费

高考数学数列专题 新课标 人教版_第1页
1/11
高考数学数列专题 新课标 人教版_第2页
2/11
高考数学数列专题 新课标 人教版_第3页
3/11
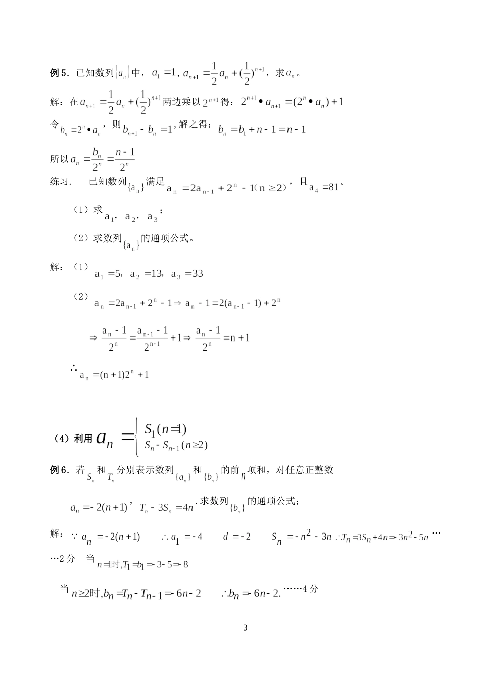
高考数学数列专题一、证明等差等比数列1. 等差数列的证明方法: (1).定义法:(常数) (2).等差中项法:2.等比数列的证明方法:(1).定义法:(常数) (2).等比中项法:例 1.设{an}为等差数列,Sn为数列{an}的前 n 项和,已知 S7=7,S15=75,Tn为数列{}的前 n 项和,求 Tn.解:设等差数列{an}的公差为 d,则Sn=na1+n(n-1)d.∴S7=7,S15=75,∴即解得 a1=-2,d=1.∴=a1+(n-1)d=-2+(n-1). ,∴数列{}是等差数列,其首项为-2,公差为,∴Tn=n2-n.例 2.设数列{an}的首项 a1=1,前 n 项和 Sn满足关系式:3tSn-(2t+3)Sn-1=3t(t>0,n=2,3,4,…)求证:数列{an}是等比数列;解:(1)由 a1=S1=1,S2=1+a2,得 a2=又 3tSn-(2t+3)Sn-1=3t①3tSn-1-(2t+3)Sn-2=3t ②①-②得 3tan-(2t+3)an-1=0∴,(n=2,3,…)1所以{an}是一个首项为 1,公比为的等比数列.练习:(2006 年山东卷)已知 a1=2,点(an,an+1)在函数 f(x)=x2+2x 的图象上,其中=1,2,3,…(1)证明数列{lg(1+an)}是等比数列;(2)设 Tn=(1+a1) (1+a2) …(1+an),求 Tn及数列{an}的通项;答案.(2) ,;二.通项的求法(1).利用等差等比的通项公式(2).累加法:例 3.已知数列满足,,求。解:由条件知:分 别 令, 代 入 上 式 得个 等 式 累 加 之 , 即所以,(3).构造等差或等比或例 4.(2006 年福建卷)已知数列满足求数列的通项公式;解:是以为首项,2 为公比的等比数列。即 2例 5.已知数列中,,,求。解:在两边乘以得:令,则,解之得:所以练习.已知数列满足,且。(1)求;(2)求数列的通项公式。解:(1)(2)∴(4)利用例 6.若和分别表示数列和的前 项和,对任意正整数,.求数列的通项公式;解: ……2 分 当 当……4 分3练习:1. 已知正项数列{an},其前 n 项和 Sn满足 10Sn=an2+5an+6 且 a1,a3,a15成等比数列,求数列{an}的通项 an 新疆源头学子小屋特级教师王新敞http://www.xjktyg.com/wxc/wxckt@126.comwxckt@126.comhttp://www.xjktyg.com/wxc/王新敞特级教师源头学子小屋新疆 解: 10Sn=an2+5an+6, ① ∴10a1=a12+5a1+6,解之得 a1=2 或 a1=3新疆源头学子小屋特级教师王新敞http://www.xjktyg.com/wxc/wxckt@126.comwxckt@126.comhttp://www.xjktyg.com/wxc/王新敞特级教师源头学子小屋新疆 又 10Sn-1=an-...

1、当您付费下载文档后,您只拥有了使用权限,并不意味着购买了版权,文档只能用于自身使用,不得用于其他商业用途(如 [转卖]进行直接盈利或[编辑后售卖]进行间接盈利)。
2、本站所有内容均由合作方或网友上传,本站不对文档的完整性、权威性及其观点立场正确性做任何保证或承诺!文档内容仅供研究参考,付费前请自行鉴别。
3、如文档内容存在违规,或者侵犯商业秘密、侵犯著作权等,请点击“违规举报”。

碎片内容

高考数学数列专题 新课标 人教版

星河书苑+ 关注
实名认证
内容提供者

从事历史教学,热爱教育,高度负责。

确认删除?
VIP
微信客服
  • 扫码咨询
会员Q群
  • 会员专属群点击这里加入QQ群
客服邮箱
回到顶部