单元测验双向细目表假定:该单元由三个小主题组成。本张试卷的题型为:选择题、填空题。其中:选择题:30道。每题2分,共60分填空...
单元测验双向细目表(参考样例)假定:该单元由两个主题组成。本张试卷的题型为:选择题、填空题其中:选择题:24道。每题2分,共48...
初一《不等式与不等式组》测验班级___________姓名___________学号___________得分___________一、选择题(共16分.)1.若,则下列不等式...
U2(SectionA)1.争论,争吵____________2.使惊奇;使意外____________(形容词:_____________)3.票____________4.可以;应该;可能_______...
电功和电功率(随堂考1)姓名班级一、填空(每空3分)1、额定功率不同,额定电压相同的两只炽灯,联在电路中,额定功率大的灯泡亮,联在电...
单元测验双向细目表该单元由五个小主题组成。本张试卷的题型为:选择题、填空题、解答题。其中:选择题:12道。每题5分,共60分填...
除数是一位数的除法单元测验一、口算80÷4=90÷3=40÷2=120÷3=260÷2=350÷5=4500÷9=2000÷4=6000÷3=84÷4=63÷3=62÷2=二、填空1.0除...
2013年八年级(上)学期第二章“声现象”测验题班别学号姓名成绩一、单选题(每小题3分,共45分。)1、男低音在放声歌唱时由女高音轻声伴唱...
八年级上册物理第二单元测验双向细目表该单元由四个小主题组成。本张试卷的题型为:选择题、填空题、问答题、计算题、实验探究题。其中...
Module11Unit2I.根据下列各句句意及所给单词的首字母或汉语提示,写出该单词的正确形式。1.Beingtired,themanagerrefreshedhimselfbyhaving...
二年级数学下册期中测验试卷学校班级姓名一、直接写得数。(10)63÷9=66+7=1200-900=35÷5=8×5+16=56÷8-0=40+60-81=54÷9...
实数单元测验一、选择题(每题4分,共20分)1、9的平方根是()A.3B.-3C.±3D.812、下列说法正确的是()A.(-3)2的平方根是-3B....
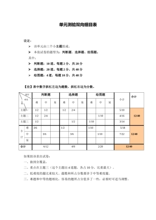
单元测验双向细目表设定:该单元由三个小主题组成。本张试卷的题型为:判断题、选择题、绘图题。其中:判断题:10道。每题2分,共20...
三年级四班数学测验成绩分析表内容80~100分优秀率60~79分合格率60分以下总分平均分
小学六年级上册数学测验一、填空(共20分,其中第1题、第2题各2分,其它每空1分)1、3吨=()吨()千克70分=()小时。2、()∶()==80%...
向着目标出发六年下堂上小测验2姓名:成绩:一、填空题(每空3分,共60分)1、所有的负数都在0的()边,也就是负数都比0(),而正数都比0...
语法知识小测验一、词性分类1、虚词:虚词一般不表示实在的意义,它们的基本用途是表示语法关系。虚词包括副词、介词、连词、助词、叹词和...
必修四复习小测验1班级姓名1、()的值是A.B.C.D.2、()若集合2{|0,},{|sin,}AyyyyRByyxxR,则AB=A.RB.(0,1]C.(,1)...
《万有引力定律》单元测试班级姓名1.发现万有引力定律和测出引力常量的科学家分别是()A.开普勒、卡文迪许B.牛顿、伽利略C.牛顿、卡文迪...
勾股定理测验题班别:姓名:成绩:(1—15题,每小题4分;16—20,每小题8分;满分100分)1、直角三角形两直角边分别为3和4,则斜边长为2、...


