院、系领导审批并签名A卷广州大学2017-2018学年第一学期考试卷参考解答与评分标准课程:概率论与数理统计(48学时)考试形式:闭卷考试学院...
院、系领导审批并签名A卷广州大学2017-2018学年第一学期考试卷课程:概率论与数理统计(48学时)考试形式:闭卷考试学院系专业班级学号姓名...
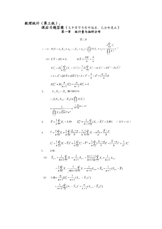
数理统计(第三版),课后习题答案(文中章节号有所偏差,已全部更正)第一章统计量与抽样分布第二章参数估计第三章统计决策与贝叶斯估计第...
理工大学考试试题纸(A卷)课程名称概率论与数理统计专业班级全校本科题号一二三四五六七八九十总分题分24101010101010106100备注:学生不得...
概率论与数理统计习题及题解第一章概率论的基本概念1.设事件及的概率分别为及,试求及2.若相互独立,试证明:亦必相互独立。3.试验为掷2...
东南大学考试卷(A卷)课程名称概率论与数理统计考试学期05—06(三)得分适用专业全校(积欠)考试形式闭考试时间长度120分钟题号一二三四...
概率论与数理统计(测绘工程、机械制造)试卷A卷考试方式:闭卷本试卷考试分数占学生总评成绩的70%题号一二三四五六七八九十总分核分人得分...
概率论与数理统计作业及解答第一次作业★1.甲乙丙三门炮各向同一目标发射一枚炮弹设事件ABC分别表示甲乙丙击中目标则三门...
概率论与数理统计模拟卷(B)答案一.填空题(每空3分,共计75分)1.A、B是两个随机事件,已知相互独立,则0.18,0.3,=0.12.2.三个可靠性为p...
第一章数据的描述和整理一、学习目的和要求1.掌握数据的类型及特性;2.掌握定性和定量数据的整理步骤、显示方法;3.掌握描述数据分布的集中...
概率论与数理统计(专升本)阶段性作业1总分:100分得分:0分一、单选题1.设,,,则_______(4分)(A):事件和互不相容(B):事件和互相对立(C):...
经济应用数学基础(三)概率论与数理统计姚孟臣编著1、(1){2,3、…,12}(2){3,4,…,10}(3){10,11,…}(4){(x,y,z)│x>0,y>0,z...
概率论与数理统计期末试卷一、填空(每小题2分,共10分)1.设是三个随机事件,则至少发生两个可表示为______________________。2.掷一颗...
概率论与数理统计学习心得摘要:通过概率论与数理统计这门课的学习,我掌握了基本的概率论的知识,当然学习中也曾遇到过很多的问题。本文主...
概率论与数理统计课程考试(A)卷系级专业学号姓名题号一二三四五六七八九总分得分阅卷一、填空题:(每题3分,共15分)1.设,为随机事件...
概率论与数理统计期末试卷及答案一、填空题:1、一袋中有50个球,其中20个红球,30个白球,现两人从袋中各取一球,取后不放回,则第二个人...
概率论与数理统计考试试卷一、(本题满分24,每小题4分)单项选择题(请把所选答案填在答题卡指定位置上):【】1.已知与相互独立,且,....
概率论与数理统计(经管类)公式一、随机事件和概率1、随机事件及其概率运算律名称表达式交换律结合律分配律德摩根律2、概率的定义及其计算公...
年概率论与数理统计部分:一、填空题1、设随机变量X的概率密度为,且,则c=()。2、设随机变量X的分布列为是严增函数,则服从()。3、设随机...
概率论与数理统计练习题系专业班姓名学号第一章随机事件及其概率(一)一.选择题1.对掷一粒骰子的试验,在概率论中将“出现奇数点”称为[...

