银行工作金点子面对金融市场同质化竞争越来越激烈的严峻形势,我行应该另辟蹊径,走一条差异化特色进展新路。我们每位员工都是银行的主人,...
自主创业新点子推举在不久的将来,独轮车运动作为趣味性、娱乐性、健身性兼备的一种娱乐项目必将风靡全国,独轮车运动有以下一些特点:1)独...
现今无本致富的生意热门的点子调查数据显示,婴儿用品店的利润平均在 30%左右。而亲子坊就是指婴幼儿用品的世界。若想经营好,奶嘴、奶瓶...
创新创业项目点子【一】:金点子创新创业策划书 金点子创新创业 ----- 走进电子世界 团队:博文科技 负责人: 成 员: 目录 一、执...
优质护理服务金点子五.“优质护理服务金点子” 征集信息反馈 干部五科 A 区:护理工作中给力的关键词: 入院时多一句热心的话,使病友...
银行工作金点子面对金融市场同质化竞争越来越激烈的严峻形势,我行应该 另辟蹊径,走一条差异化特色进展新路。我们每位员工都是银行 的主...
环保金点子演讲稿 环保,一个世界人民心目中根深蒂固的词。何为环保环保是一种概念,一种思想上的概念。环保是一种行动,一种需要大家落实...
校园大学生金点子创意大赛活动策划书 一、参赛对象:全院在校学生均可报名参加。 二、承办单位:网络技术系(创业协会协助) 四、大赛组...
安全生产金点子(2 页)Good is good, but better carries it.精益求精,善益求善。安全生产金点子—实施诚信管理推动安全生产 安全...
安全生产金点子安全生产金点子篇 1一、公司在安全管理上存在问题:1、加强领导安全职责制,“谁主管,谁负责”,杜绝一些领导和职工、干活...
尚美佳市场讨论部 营销推广金点子集合 点子 1:6 月买房抽国外国内游(通过大转盘的形式来决定去哪个省份或者国家旅游,地点由公司排列...
点子、企划、筹划、征询四者之间旳区别和联络区别:点子企划筹划征询点子点子,指主意,措施;是通过思维产生旳处理问题旳措施,点子指思索...
适合穷人的创业点子分享 创业是希望和无望,信赖和背叛,获得和失去不停地来回交替的过程,只是长时间驾驶的话,不断会重复相似的风景,总...
编号:_____ 万圣节游戏:亲子互动沟通小点子学 校:_________教 师:_____________年___月___日(此文内容仅供参考,可自行修改)万圣...
[毕业典礼主持稿]毕业典礼有趣的点子 毕业典礼主持稿 1、主持人开场白。 B:亲爱的爸爸妈妈爷爷奶奶,D:亲爱的老师、小朋友们,合:大...
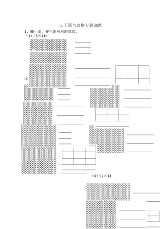
点子图与表格专题训练1、圈一圈,并写出对应的算式。(1)15×11=(2) 12×11(3)14×13 (4)12×13
让创业者轻松的无本创业点子目前市场中的节能空调,能够在开敞式及半开敞式的环境中使用的并不多。本产品不 但可以在这样的环境中使用,并...
环保金点子征集活动总结 为响应校“环保节能,构建和谐社会”的先锋杯活动,历史文化学院与物理系环保协会特此举办了本次“我为环保出力—...
校园金点子创意大赛活动策划书 一活动背景: 上东大学威海分校年轻而充满活力,她需要每个山威人的努力才能更好地成长与进展。21 世纪是...
大学生创业创新 100 个小点子大学生创业创新 100 个小点子_大学生 校园创业 新点子大学生 校园创业 新点子;;1 爱心 抱抱 当别人...

