人工费材料费机械费管理费利润措施项目其他项目规费税金人工费调整1010101001001平整场地1、土壤类别:三类土2、弃土运距:自定3、取土...
定额编号1-1-11-1-21-1-31-1-4项目名称浅孔/ 暴破松石次坚石普坚石特坚石基础单价(元)1889.122560.523376.944362.07其中人工费(元)640...
030404017001人工费材料费利润人工费利润4-45610m0.28 129.5633.0318.1436.285.084-266换台1 227.9632.1131.91 227.9631.91264.2436.99...
1 安装工程量清单综合单价计算表 建设单位和工程名称: xxxxxxxxxxxxx办公大楼暖通工程 计量单位:m 项目编码:030602006001 工程数...
人工费材料费机械费管理费利润2-1131砖混凝土结构暗配半硬质塑料管口径15mm以内100m0.01156.3124.0160.9621.88半硬质塑料管15(备注:20、2...
安徽省建筑工程计价定额综合单价(2 0 0 9 ) 建筑 总 说 明 一、为促进建筑业又好又快发展,进一步规范建筑市场工程量清单计价行为...
1 安徽省建筑工程计价定额综合单价(2 0 0 9 ) 建筑 总 说 明 一、为促进建筑业又好又快发展,进一步规范建筑市场工程量清单计价...
单价调整申请报告 篇一:单价申请报告 贵州建工集团第一建筑工程有限责任公司 谨致:XX 市供水总公司、贵州正业工程技术投资有限公司发...
安徽省2009综合单价说明及计算规则
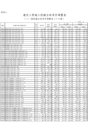
调整前调整后调整前调整后01001 履带式推土机[功率(kW)|60]中421.98421.98452.1100.4130.52148.18178.301002 履带式推土机[功率(kW)|75]...
精品文档---下载后可任意编辑HIV-1 单价抗体的构建与活性分析的开题报告一、讨论背景与意义人类免疫缺陷病毒(HIV)感染已经成为全球公共...
单 价承包工程合同 编 号 : 甲 方( 发 包 方 ): 签 约 时 间 : 年 月 日 乙 方 ( 承 包 方 ): 签 约 ...
序号项目名称单位指导价(元)主 要 工 作 内 容备 注一路基工程不含开发票水税费1伐树、挖根、清除表土1-1伐树、挖树根棵5~25锯倒...
序号项目名称单位指导价(元)主 要 工 作 内 容备 注一路基工程机械设备台班中柴油按6000元/吨计算,若有差距较大,可适当调整1伐树、...
三桥 梁单 位单 价工 作 内 容( 一 )基 础 工 程 及下 部 结 构3.1.1干 处 基 础 挖土 方m 383.1.2干 处 基 础...
序号项目名称单位公司内部指导单价分包单价1钻孔1.2mm550.002钻孔1.3mm560.003钻孔1.4mm600.004钻孔1.5mm650.005钻孔1.8mm880.006钻孔1.9mm...
序号供应商 设备名称 品牌及型号最大加工范围加工精度工时单价(元/小时)人员费用(元/天)1裕通激光机 德国通快30301500*3000±0.1600...
例1 : 某工程平整场地的工程量清单如下表,试根据河南省0 8 综合单价分析综合单价; 若人工工日单价4 7 元/工日,试分析综合单价。...
计量单位㎡工程量38人工费材料费机械费综合费率(含税)人工费材料费机械费综合费率(含税)B3-33装配式U型轻钢龙骨 不上人型次龙骨间距(3...
分产品销售收入、成本分析表共7页第1页被审计单位名称:查验人员:日期:索引号:所属时期或截至时间:复核人员:日期:金额单位:人民币元...

