窨井作业安全须知1、作业前应实行充分的通风换气措施,并经有毒有害气体检测分析合格,方可下井作业,作业过程当中要不间断通风换气并适时...
清洗窨井管道方案背景在城市建设过程中,窨井是一个非常重要的城市基础设施。窨井在城市的排水系统中起到了很重要的作用,它们是污水的收集...
窨井盖无线防盗报警系统简介一.系统性能概述本系统完善地解决了井盖防盗报警系统的金属井盖无线屏蔽问题、供电问题和防止误报问题,并且体...
技术指标:1.防护网直径 600 毫米,承重不低于 300 千克;2。网体、边绳为高强度聚乙烯等类耐潮防腐材料;3.网体的网绳直径 6 毫米,4....
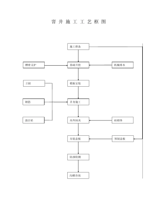
窨 井 施 工 工 艺 框 图 模板安装 施工准备 槽壁支护 机械排水 基础开挖 立桩 井身施工 钢筋 砖砌体 内外抹灰 浇注砼 ...
下载后可任意编辑清洗窨井管道方案背景在城市的下方,有一条看不见的管道,也许它没有路灯那么亮,也没有人行道那么宽,但它却是城市运转的...
仅供参考 [整理 ] 第 1 页 共 3 页安全管理文书窨井作业安全须知日期: __________________单位: __________________仅供参考 ...
市城市窨井设施管理制度第一条为了加强城市窨井设施的维护和管理,保障窨井设施完好,维护公共安全,根据国务院《城市道路管理条例》、《XX...
防沉降窨井施工质量控制防沉降窨井施工质量控制****年6月目录一、课题概况…………………………………………………………3二、选题理由……...
排水井防护网-污水井防坠网合格测试标准详细搜-索=河北/五星/默/超凡窨井防护网污水井防坠网设计标准•近年来,随着城市道路和地下管网的不...
检查井防坠网,窨井防坠网市政井防护网防坠网、电力井防护网防坠网、通讯井防护网防坠网、自来水井防护网防坠网、检查井防护网防坠网、燃气...
市城市窨井设施管理制度第一条为了加强城市窨井设施的维护和管理,保障窨井设施完好,维护公共安全,根据国务院《城市道路管理条例》、《XX...
NB-IOT智慧窨井盖物联网解决方案NB-IOT智慧窖井盖物联网解决方案NB-IOT智慧窨井盖物联网解决方案04智慧井盖优势03设计方案01背景分析02建设...
市城市窨井设施管理制度第一条为了加强城市窨井设施的维护和管理,保障窨井设施完好,维护公共安全,根据国务院《城市道路管理条例》、《XX...

