T分布表Df自由度P概率0.10.050.0250.010.0050.0010.0005单尾0.20.10.050.020.010.0020.001双尾13.0786.31412.70631.82163.657318.309636.61...
1、饱和蒸汽压力-焓表(按压力排列)压力MPa温度。C焓J/kg压力MPa温度C焓J/kg0.0016.982513.81.00179.882777.00.00217.512533.21.10184.062...
完美WORD格式编辑1、饱和蒸汽压力-焓表(按压力排列)压力MPa温度。C焓KJ/kg压力MPa温度。C焓KJ/kg0.0016.982513.81.00179.882777.00.00217...
附表7.相关系数临界值表(表中是自由度)n-20.100.050.020.010.001n-2123456789101112131415160.987690.900000.80540.72930.66940.62150....
宁波市监理单位、监理人员动态管理量化分值表序号单位扣分值扣分对象扣分项目监理单位项目总监监理工程师监理员1允许其他单位或者个人以本...
水蒸气热焓表(饱和蒸汽或过热蒸汽)1)饱和蒸汽压力-焓表(按压力排列)压力MPa温度℃焓KJ/kg压力MPa温度℃焓KJ/kg0.0016.982513.81.00179....
排列三和值表0:0001:0012:0020113:0030121114:0040130221125:0050140231131226:0060150240331141232227:0070160250341151241332238...
洋红Carmine(大胆)CMYK:C0M100Y60K10CMYK:C20M100Y50K0玫瑰红RoseRGB:R215G0B64RGB:R200G8B82RGB:R230G28B100RGB:R220G91B111RGB:R238G1...
标准文案统计学附录F-分布临界值表a(0.005—0.10)a=0.005Fak1k21234568122481162112000021615225002305623437239252442624940254652198.519...
附表应税污染物和当量值表一、第一类水污染物污染当量值污染物污染当量值千克总汞总镉总铬六价铬总砷总铅总镍苯并芘总铍总银二、第二类水污...
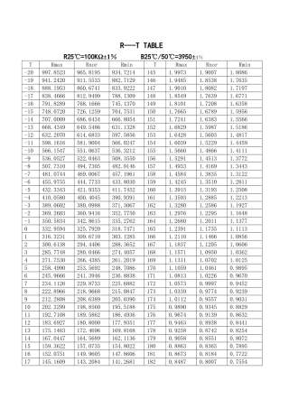
R---TTABLER25℃=100KΩ±1%B25℃/50℃=3950±1%TRmaxRnorRminTRmaxRnorRmin-20997.8523965.8195934.72141451.99731.90071.8086-19941.24...
支吊架设计手册(西北院1983年版本)拉杆计算取值表1.L5花篮螺丝对d=10~48间隙全取用50mm2.L6螺纹接头对d=10~48间隙全取用0mm13.L7环形耳子...
完美WORD格式编辑1DDDDDDD—DDDDDDDDD□□MPa□□□□KJ/kg□□MPa□□□□KJ/kg0.0016.982513.81.00179.882777.00.00217.512533.21.10184....
1、饱和蒸汽压力-焓表(按压力排列)压力MPa温度。c焓J/kg压力MPa温度c焓J/kg0.0016.982513.81.00179.882777.00.00217.512533.21.10184.062...
□□MPa□□□□KJ/kg□□MPa□□□□KJ/kg0.0016.982513.81.00179.882777.00.00217.512533.21.10184.062780.40.00324.102545.21.20187.962...
附表2应税污染物和当量值表一、第一类水污染物污染当量值污染物污染当量值(千克)1.总汞0.00052.总镉0.0053.总铬0.044.六价铬0.025.总神0.02...
环评常用环境质量标准限值表整理
中四班中午值日轮值表
1、饱和蒸汽压力—焓表(按压力排列)压力MPa0。0010.0020。0030。0040.0050。0060.0070。0080.0090.0100.0150.0200.0250。0300。0400。050...
国家标准规定了电阻的阻值按其精度分为两大系列,分别为E—24系列和E-96系列,E-24系列精度为5%,E-96系列为1%。精度为5%的碳膜电阻,以欧...

