学习必备欢迎下载鲁教版七年级英语上册重点短语及句子归纳复习Unit1I’mwatchingTV.短语1.watchTV看电视2.talkonthephone在电话上聊天3.TVs...
第2章二元一次方程组1.已知方程12xm+3yn=4是关于x、y的二元一次方程,则m=__1__,n=__1__.2.已知二元一次方程x4+32y=1.(1)用含x的...
ɑoeiuüɑieiuiɑoouiuieüeerɑneninunünɑnɡenɡinɡonɡzhichishirizicisiyiwuyuyeyueyuɑnyinyunyinɡbpmfdtnlɡkhjqxzhichishirzcsyw
一建项目管理知识点整理(可打印)2————————————————————————————————作者:——————————————...
1(一)羊妈妈收菜羊妈妈带着小羊到菜园去收菜。他们走到萝卜地里。羊妈妈拔了一个萝卜。小羊要吃萝卜叶子。羊妈妈说:“萝卜的根最好吃。”...
房屋租赁合同出租方(以下简称甲方):身份证号:承租方(以下简称乙方):合同编号:签订时间:年月日签订地点:根据《中华人民共和国合同...
汉语拼音字母表声母:BbPpMmFfDdTtNnLlGgKkHhJjQqXxZzCcSsRrYyWw翘舌音:zhchsh单韵母:aoeiuu(u上边有两点读於)复韵母:汉语拼音字母表ai...
教材备用教材备用教材备用教材备用教材备用教材备用教材备用教材备用教材备用
Hamilton汉密尔顿焦虑量表(HAMA)汉密尔顿焦虑量表(HamiltonAnxietyScale,HAMA)包括14个项目,由Hamilton于1959年编制,它是精神科中应用...
儿童行为量表(CBCL)Achenbach(家长用,适用于4—16岁儿童)译者说明:1.原表用的是大规格纸张,许多项目平列横排,为适应国内常用16开纸...
识字表生字注音第一单元年班姓名:霜吹落降飘游池入姓氏李张古吴赵钱孙周王官清晴眼睛保护护害事情请让病相遇喜欢怕言互令动万纯净阴雷电阵...
Lesson第01-25讲资料内部资料资料类型(WORD)翻译基本功:一、填写冠词:ChineseTurnBullishOnBoozeAndCaterpillarFungu中国人投资之怪现...
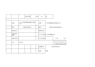
申请日期20131030名称名称广州市湖凯贸易有限公司账号700358359232账号3602012609200065844联系电话联系电话汇入行名称工行车陂路支行身份...
广东远博电子装备有限公司佛山市禅城区澜石钢铁交易中心电话:№XS-202408002客户名称:开博维尔科技有限公司联系人:苏经理客户地址:广东...
安徽远博电子装备有限公司安徽省滁州市南谯区XS-202408002销售清单客户名称:开博维尔科技有限公司客户地址:广东省佛山市禅城区联系电话0...
广东电子装备有限公司广东省佛山市禅城区电话:送货单客户名称:开博维尔科技有限公司联系人苏经理送货日期:客户地址:广东省佛山市禅城区...
序号姓名金额1120,000.122208,000.003187,000.004200,000.005205,000.006195,000.007110,000.008120,000.009205,000.0010205,000.0011170,0...
儿园:消防大作战彩色黑图可打印
幼儿故事19篇可打印-----21小熊快乐的一天小熊在岸上看莲花,小鱼在水中自在的游,远处一条小鱼跃出水面,它大喊:“救命”。小熊急忙跑了...
六年级数学上册全册分析一、教学内容:这一册教材包括下面一些内容:分数乘法、位置与方向、分数除法、比、圆、百分数、扇形统计图、数学广...

