电脑桌面
添加小米粒文库到电脑桌面
安装后可以在桌面快捷访问

2011年江苏省职业学校亚龙杯电工电子技能大赛获奖选VIP免费

2011年江苏省职业学校亚龙杯电工电子技能大赛获奖选_第1页
1/8
2011年江苏省职业学校亚龙杯电工电子技能大赛获奖选_第2页
2/8
2011年江苏省职业学校亚龙杯电工电子技能大赛获奖选_第3页
3/8
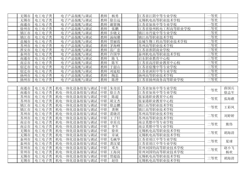
序 号代 表 队类 别参 赛 项 目组 别姓 名参 赛 号所 在 学 校获 奖 等 第指 导 教 师1苏 州 市电 工 电 子 类电 子 产 品 装 配 与 调 试中 职闵 天 宇DZCPZ009张 家 港 职 业 教 育 中 心 校一 等 奖顾 达2南 通 市电 工 电 子 类电 子 产 品 装 配 与 调 试中 职薛 磊DZCPZ012启 东 职 业 教 育 中 心 校一 等 奖郝 丽 娜3南 通 市电 工 电 子 类电 子 产 品 装 配 与 调 试中 职缪 鹏 飞DZCPZ011江 苏 省 如 皋 第 一 中 等 专 业 学 校一 等 奖费 建 国4常 州 市电 工 电 子 类电 子 产 品 装 配 与 调 试中 职闫 瑞 阳DZCPZ008常 州 刘 国 钧 高 等 职 业 技 术 学 校二 等 奖郭 占 涛5徐 州 市电 工 电 子 类电 子 产 品 装 配 与 调 试中 职张 淑 云DZCPZ006徐 州 机 电 工 程 高 等 职 业 学 校二 等 奖周 中 艳6盐 城 市电 工 电 子 类电 子 产 品 装 配 与 调 试中 职李 佳 森DZCPZ017盐 城 高 级 职 业 学 校二 等 奖王 海 涛7南 京 市电 工 电 子 类电 子 产 品 装 配 与 调 试中 职张 华DZCPZ002江 苏 省 高 淳 职 业 教 育 中 心 校二 等 奖陈 军8镇 江 市电 工 电 子 类电 子 产 品 装 配 与 调 试中 职邹 家 诚DZCPZ022镇 江 高 等 职 业 技 术 学 校二 等 奖张 平9无 锡 市电 工 电 子 类电 子 产 品 装 配 与 调 试中 职高 阳DZCPZ003无 锡 机 电 高 等 职 业 技 术 学 校三 等 奖高 旅 明10苏 州 市电 工 电 子 类电 子 产 品 装 配 与 调 试中 职张 益 超DZCPZ010苏 州 高 等 职 业 技 术 学 校三 等 奖王 春 红11盐 城 市电 工 电 子 类电 子 产 品 装 配 与 调 试中 职李 肖 飞DZCPZ018盐 城 生 物 工 程 高 等 职 业 技 术 学 校三 等 奖贾 丽 霞12扬 州 市电 工 电 子 类电 子 产 品 装 配 与 调 试中 职吉 磊DZCPZ019扬 州 高 等 职 业 技 术 学 校三 等 奖严 勇13泰州 市电 工 电 子 类电 子 产 品 装 配 与 调 试中 职卢曦DZCPZ024泰州 机 电 高 等 职 业 技 术 学 校三 等 奖...

1、当您付费下载文档后,您只拥有了使用权限,并不意味着购买了版权,文档只能用于自身使用,不得用于其他商业用途(如 [转卖]进行直接盈利或[编辑后售卖]进行间接盈利)。
2、本站所有内容均由合作方或网友上传,本站不对文档的完整性、权威性及其观点立场正确性做任何保证或承诺!文档内容仅供研究参考,付费前请自行鉴别。
3、如文档内容存在违规,或者侵犯商业秘密、侵犯著作权等,请点击“违规举报”。

碎片内容

2011年江苏省职业学校亚龙杯电工电子技能大赛获奖选

小辰2+ 关注
实名认证
内容提供者

出售各种资料和文档

相关文档

确认删除?
VIP
微信客服
  • 扫码咨询
会员Q群
  • 会员专属群点击这里加入QQ群
客服邮箱
回到顶部