电脑桌面
添加小米粒文库到电脑桌面
安装后可以在桌面快捷访问

数值分析报告应用举例VIP免费

数值分析报告应用举例_第1页
1/4
数值分析报告应用举例_第2页
2/4
数值分析报告应用举例_第3页
3/4
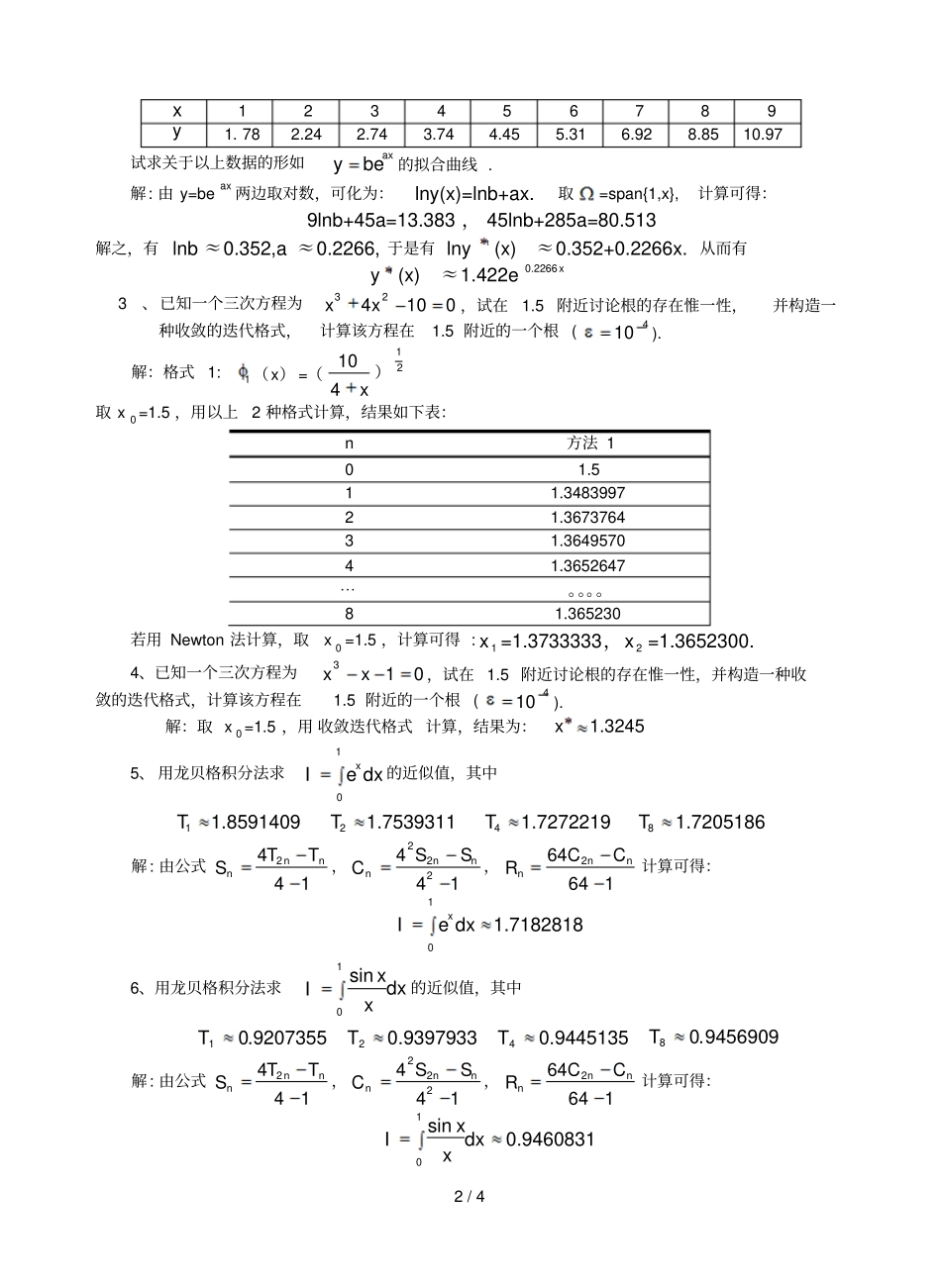
1 / 4 《数值分析》综合举例一、名词解释1、模型误差: 从复杂的实际问题中抽象出数学模型,需要忽略某些次要因素,这种近似产生的误差叫做模型误差;2、相对误差限: 绝对误差与精确值之比,即( )( )rxxx,称为*x 的相对误差。 若存在0使( )r x,则称为相对误差限;3、有效数字: 若近似数*x 的绝对误差限小于某一数位上的半个单位,且该位直到*x 的第一位非零数字共有n 位,则称该近似数*x 有 n 位有效数字;4、 矩阵的条件数:设 A 为可逆矩阵,则1AA称为矩阵 A 的条件数,记为Cond(A) ;5、迭代法的局部收敛:设 x 为 xg x 在区间 I 上的的一个不动点,若存在x 的一个邻域 SI ,对任意的0xS ,相应的迭代格式1kkxg x产生的序列 {}kxS,且 {}kx收敛于 x ,则称 迭代法的局部收敛;6、插值型求积公式:若求积公式0nbkkakIfx dxA fx中的求积系数KA 是由插值公式确定的,则称该求积公式为插值型求积公式;7、代数精度: 若求积公式0nbkkakIfx dxA fx对于任意不高于m 次的多项式准确成立,而对1mx却不能准确成立,则称该求积公式的代数精度为.m8 、 数值解的局部截断误差:设iiyy x,且1iy是由某近似公式算出的近似值,则111iiiRy xy称为数值解公式的局部截断误差。二、填空题1、数 2.71838 和 2.71828 分别作为e 的近似值有 4 , 6 位有效数字;2、已知1111A , 则1||||A= 2 ,Cond)( A= 2 . 三、基本计算题1、 已知变量yx,的一组数据对点如下x1.00 1.25 1.50 1.75 2.00 y5.10 5.79 6.53 7.45 8.46 试求关于以上数据的形如axybe的拟合曲线 . 解 : 由 y=beax 两 边 取 对 数, 可 化 为 : lny(x)=lnb+ax.取=span{1,x},计 算 可 得 :5lnb+7.5a=9.404 , 7.5lnb+11.875a=14.422 解之,有 lnb ≈1.122,a ≈0.5056, 于是有 lny1 (x) ≈1.122+0.5056x. 从而有y1 (x) ≈13.071ex5056.0。2、已知变量yx,的一组数据对点如下2 / 4 x1 2 3 4 5 6 7 8 9 y1. 78 2.24 2.74 3.74 4.45 5.31 6.92 8.85 10.97 试求关于以上数据的形如axybe的拟合曲线 . 解: 由 y=beax 两边取对数,可化为:lny(x)=lnb+ax.取=span{1,x},计算可得:9lnb+45a=13.383 , 45lnb+285a=80.513 解之,有 lnb ≈0.352,a ≈0.2266, 于是有 lny1 (x) ≈0.352+0.2266x. 从而有y1 (x) ≈1.422e0.2266x 3、已知一个三次方程为324100xx...

1、当您付费下载文档后,您只拥有了使用权限,并不意味着购买了版权,文档只能用于自身使用,不得用于其他商业用途(如 [转卖]进行直接盈利或[编辑后售卖]进行间接盈利)。
2、本站所有内容均由合作方或网友上传,本站不对文档的完整性、权威性及其观点立场正确性做任何保证或承诺!文档内容仅供研究参考,付费前请自行鉴别。
3、如文档内容存在违规,或者侵犯商业秘密、侵犯著作权等,请点击“违规举报”。

碎片内容

数值分析报告应用举例

确认删除?
VIP
微信客服
  • 扫码咨询
会员Q群
  • 会员专属群点击这里加入QQ群
客服邮箱
回到顶部