电脑桌面
添加小米粒文库到电脑桌面
安装后可以在桌面快捷访问

数形结合思想在应用向量方法解题中的体现VIP免费

数形结合思想在应用向量方法解题中的体现_第1页
1/5
数形结合思想在应用向量方法解题中的体现_第2页
2/5
数形结合思想在应用向量方法解题中的体现_第3页
3/5
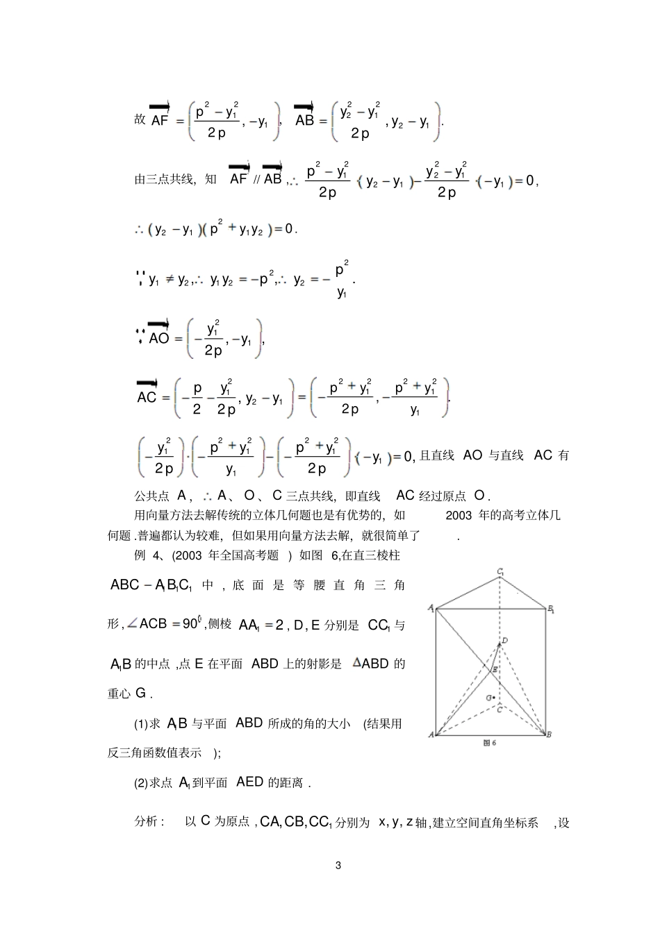
1 数形结合思想在应用向量方法解题中的体现在新编高中数学教材增加的向量这一章中,向量的运算法则以及运算律的给出,容易使学生认为向量是属于代数内容,但向量实际上又是属于几何范畴的.向量有时也会脱离图形而进行形式运算,但所研究的内容大都与图形有关.向量具有“数”与“形”的双重特征,因而它可以作为联系代数与几何的纽带,成为讨论数形结合的有力工具. 著名数学家拉格朗日曾经说过:“只要代数同几何分道扬镳,它们的进展就缓慢 .它们的应用就狭窄.但当这两门科学结合成伴侣时,它们就互相吸收新鲜的活力, 从而以快捷的步伐走向完美.”我国著名数学家华罗庚先生也有“数缺形时少直观, 形缺数时难入微”的精辟论述 .学好向量这一块内容,能进一步促进学生对代数几何的理解,运用代数几何化、几何代数化的方法,从多角度思维,充分体现了在应用向量工具来解题中,数形结合的思想方法给我们带来的快捷与便利. (一)代数几何化平面向量沟通了代数与几何的联系,因此对某些代数问题,如能巧妙地构造向量,便能将其转化为向量问题,从而使问题简化. 例 1、证明:对于任意两个向量a ,b ,都有bbb.aaa证明:若 a ,b 中有一个为 0 ,则不等式显见成立. 若 a , b 都不是 0 时,作 OA =a ,AB = b 则 OB =→a+ b . (1)当 a , b 不共线时,如图1 所示,则 OAABOAAB ,OB即bbb.aaa(2)当 a , b 共线时,若 a, b 同向,如图2 所示,OAAB ,OB即bb.aa若 a ,b 反向, 如图 3 所示, OAAB,OB2 则bbaa综上可知:bbb.aaa该命题的证明方法有多种,但应用向量工具从三角形三边关系上更能看出问题的实质 .因此,在教学时应有意识的引导学生从数形结合的角度进行思考,避免单一的思维渠道. (二)几何代数化通过对向量的学习可知,向量有一整套的符号和运算系统,对大量的几何问题,不但可以用向量的语言加以叙述,而且完全可以借助向量的方法予以证明,从而把抽象的逻辑推理转化为具体的向量运算. 例 2、求证:直角三角形斜边上的中线等于斜边的一半. 证明:如图4 所示,在 Rt ABC 中,CRt,D 是 AB 边上的中点,由向量加法的平行四边形法则,知12CDCACB,14CD CDCACBCACB ,0CA CB,22221144CDCACBAB,12CDAB . 向量作为联系代数与几何图形的最佳桥梁,它可以使图形量化,使图形间的关系代数化,让我们从复杂的图形分析中解脱出来,只需要研究这些图形存在的向量关系,就可...

1、当您付费下载文档后,您只拥有了使用权限,并不意味着购买了版权,文档只能用于自身使用,不得用于其他商业用途(如 [转卖]进行直接盈利或[编辑后售卖]进行间接盈利)。
2、本站所有内容均由合作方或网友上传,本站不对文档的完整性、权威性及其观点立场正确性做任何保证或承诺!文档内容仅供研究参考,付费前请自行鉴别。
3、如文档内容存在违规,或者侵犯商业秘密、侵犯著作权等,请点击“违规举报”。

碎片内容

数形结合思想在应用向量方法解题中的体现

您可能关注的文档

文库响当当+ 关注
实名认证
内容提供者

该用户很懒,什么也没介绍

确认删除?
VIP
微信客服
  • 扫码咨询
会员Q群
  • 会员专属群点击这里加入QQ群
客服邮箱
回到顶部