电脑桌面
添加小米粒文库到电脑桌面
安装后可以在桌面快捷访问

滚齿机差动挂轮计算公式VIP免费

滚齿机差动挂轮计算公式_第1页
1/6
滚齿机差动挂轮计算公式_第2页
2/6
滚齿机差动挂轮计算公式_第3页
3/6
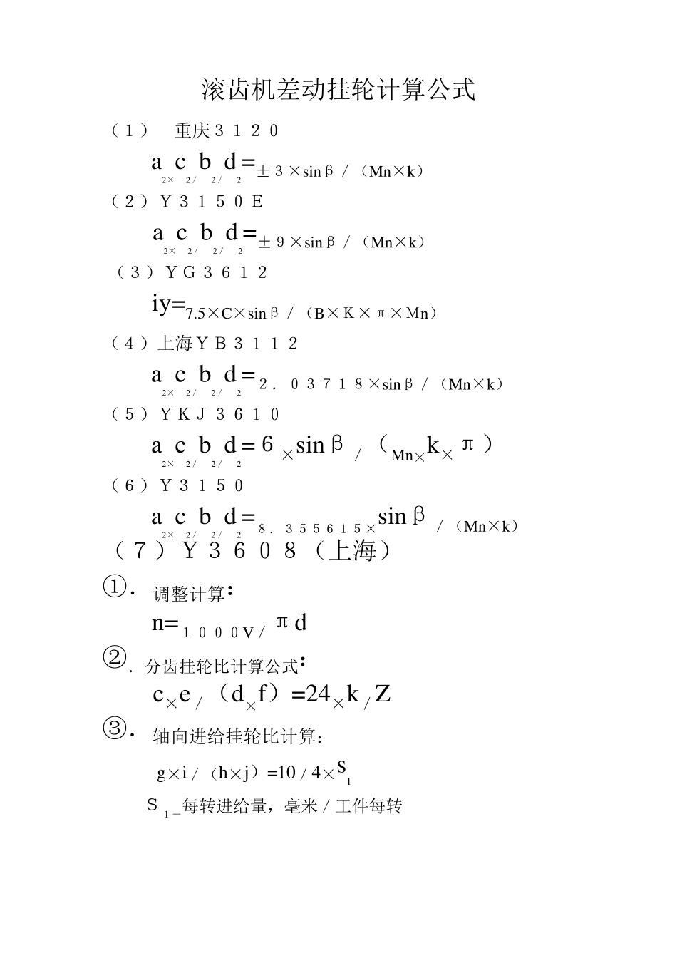
滚齿机差动挂轮计算公式 (1) 重庆3120 a2×c2/b2/d2=±3×sinβ/(Mn×k) (2)Y3150E a2×c2/b2/d2=±9×sinβ/(Mn×k) (3)YG3612 iy=7.5×C×sinβ/(B×K×π×Mn) (4)上海YB3112 a2×c2/b2/d2=2.03718×sinβ/(Mn×k) (5)YKJ3610 a2×c2/b2/d2=6×sinβ/(Mn×k×π) (6)Y3150 a2×c2/b2/d2=8.355615×sinβ/(Mn×k) (7)Y3608(上海) ①.调整计算: n=1000V/πd ②.分齿挂轮比计算公式: c×e/(d×f)=24×k/Z ③.轴向进给挂轮比计算: g×i/(h×j)=10/4×s1 S1-每转进给量,毫米/工件每转 ④.加工斜齿轮的调整计算: 轴向进给挂轮比计算: g×i/(h×j)=10/4×s2 s2-每转进给量,毫米/工件每转 ⑤.斜齿轮分齿挂轮比计算公式: c×e/(d×f)=24×π×Mn×k/(π×Mn×Z±s2×sinβ) 式中: ±-工件与刀具螺旋线方向相同时取-,相反时取+. (8)YM3608(宁江) ①纵向进给挂轮配换计算: 根据预先假定的走刀量S,用公式计算出C/D×E/F传动比齿数,再以C/D×E/F值校验出S值,找出L/M×N/O挂轮,然后用选取的分度与走刀挂轮验算螺旋角β的误差. 走刀挂轮计算公式:L/M×N/O=2.50029×S(本公式用于凸轮18D,加工螺旋齿轮) ②滚切螺旋圆柱齿轮分度C/D×E/F计算公式: ⒈C/D×E/F=24K/{Z×[1-S×sinβ/(π×Mn×Z)]} (滚刀与工件螺旋方向相同者) ⒉C/D×E/F=24K/{Z×[1+S×sinβ/(π×Mn×Z)]} (滚刀与工件螺旋方向相反者) ⒊对径节(英)制螺旋齿轮: C/D×E/F=24K/{Z×[1-S×DP×sinβ/(79.796452×Z)]}(滚刀与工件螺旋方向相同者) C/D×E/F=24K/{Z×[1+S×DP×sinβ/(79.796452×Z)]}(滚刀与工件螺旋方向相反者) 检验: sinβ'=[±Z-+24K/(C/D×E/F)]×2.50029π×Mn/(L/M×N/O) 上式五个公式中 Z-24K/(C/D×E/F)为滚刀与工件螺旋方向相同 24K/(C/D×E/F)-Z为滚刀与工件螺旋方向相反 β-设计工件的螺旋角 β'-为计算出的挂轮,加工后的螺旋角 S-刀具纵向走刀量(mm/工件每...

1、当您付费下载文档后,您只拥有了使用权限,并不意味着购买了版权,文档只能用于自身使用,不得用于其他商业用途(如 [转卖]进行直接盈利或[编辑后售卖]进行间接盈利)。
2、本站所有内容均由合作方或网友上传,本站不对文档的完整性、权威性及其观点立场正确性做任何保证或承诺!文档内容仅供研究参考,付费前请自行鉴别。
3、如文档内容存在违规,或者侵犯商业秘密、侵犯著作权等,请点击“违规举报”。

碎片内容

滚齿机差动挂轮计算公式

小辰5+ 关注
实名认证
内容提供者

出售各种资料和文档

相关文档

确认删除?
VIP
微信客服
  • 扫码咨询
会员Q群
  • 会员专属群点击这里加入QQ群
客服邮箱
回到顶部