电脑桌面
添加小米粒文库到电脑桌面
安装后可以在桌面快捷访问

通信网理论基础课后答案VIP免费

通信网理论基础课后答案_第1页
1/19
通信网理论基础课后答案_第2页
2/19
通信网理论基础课后答案_第3页
3/19
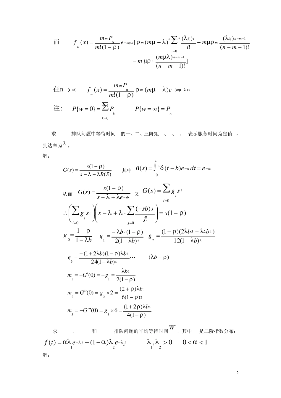
1 通信网理论基础 第二章习题 2.2 求M/M/m(n)中,等待时间w的概率密度函数。 解: M/M/m(n)的概率分布为: 11010011!)(!)( mrmnmkmmpkmp nknkmpkmmkpkmpkmkk0!10!)(00 假定n>m,n≥0,现在来计算概率P{w>x},既等待时间大于 x的概率。 njjjxwPpxwP0}{}{ 其中,Pj{w>x}的概率为: njmxwPnjmixmexwPmjxwPjmjiixmjj1}{1!)(}{100}{0 可得: xmmnnimmniixmmnmjnmjiixmjmnnmjmjiixmjemmPxwP则若 nPixmePmmixmePmmPixmePxwP)(010010010!)(1}{1!)(!!)(!!)(}{ 特别的,新到顾客需等待的概率为: !)(1}0{0mmPWPm  2 ])!1()()!1()(!)()([)1(!)(而12010mnmmmnxmixmemPmxfmnnmnimnmimxmmw nmkkxmmmwPwPPwP注:emmPmxf在 n}{}0{)()1(!)(10)(0 2.4求M/D/1排队问题中等待时间W的一、二、三阶矩 m1、m2、m3,D表示服务时间为定值 b,到达率为 。 解: )()1()(SBsssG 其中 sbstedtebtsB 0)()( 从而 sbesssG)1()( 又 0)(iiisgsG )1(!)(00sjsbssgjjiii bg 110 221)1(2)1(bbg 34232)1(12)2)(1(bbbg 34332322211443)1(4)21(6)0()1(6)2(2)0()1(2)0()()1(24)1)(21(bgGmbgGmbgGmbbbbg 2.5 求M/B/1,B/M/1和 B/B/1排队问题的平均等待时间W ,其中B是二阶指数分布:100,)1()(212121tteetf 解:M/B/1 3 2212212221222122112221221122110)1(1)1(1)1(22)0(1)0()1()()( mwwBwBwssdtetfSBst B/M/1 )))(21(2)(11())(21(2)(11)1(2))(21(2)(1110)1...

1、当您付费下载文档后,您只拥有了使用权限,并不意味着购买了版权,文档只能用于自身使用,不得用于其他商业用途(如 [转卖]进行直接盈利或[编辑后售卖]进行间接盈利)。
2、本站所有内容均由合作方或网友上传,本站不对文档的完整性、权威性及其观点立场正确性做任何保证或承诺!文档内容仅供研究参考,付费前请自行鉴别。
3、如文档内容存在违规,或者侵犯商业秘密、侵犯著作权等,请点击“违规举报”。

碎片内容

通信网理论基础课后答案

您可能关注的文档

确认删除?
VIP
微信客服
  • 扫码咨询
会员Q群
  • 会员专属群点击这里加入QQ群
客服邮箱
回到顶部