电脑桌面
添加小米粒文库到电脑桌面
安装后可以在桌面快捷访问

2020年ISO140012015环境管理体系法律法规及相关要求清单VIP免费

2020年ISO140012015环境管理体系法律法规及相关要求清单_第1页
1/30
2020年ISO140012015环境管理体系法律法规及相关要求清单_第2页
2/30
2020年ISO140012015环境管理体系法律法规及相关要求清单_第3页
3/30
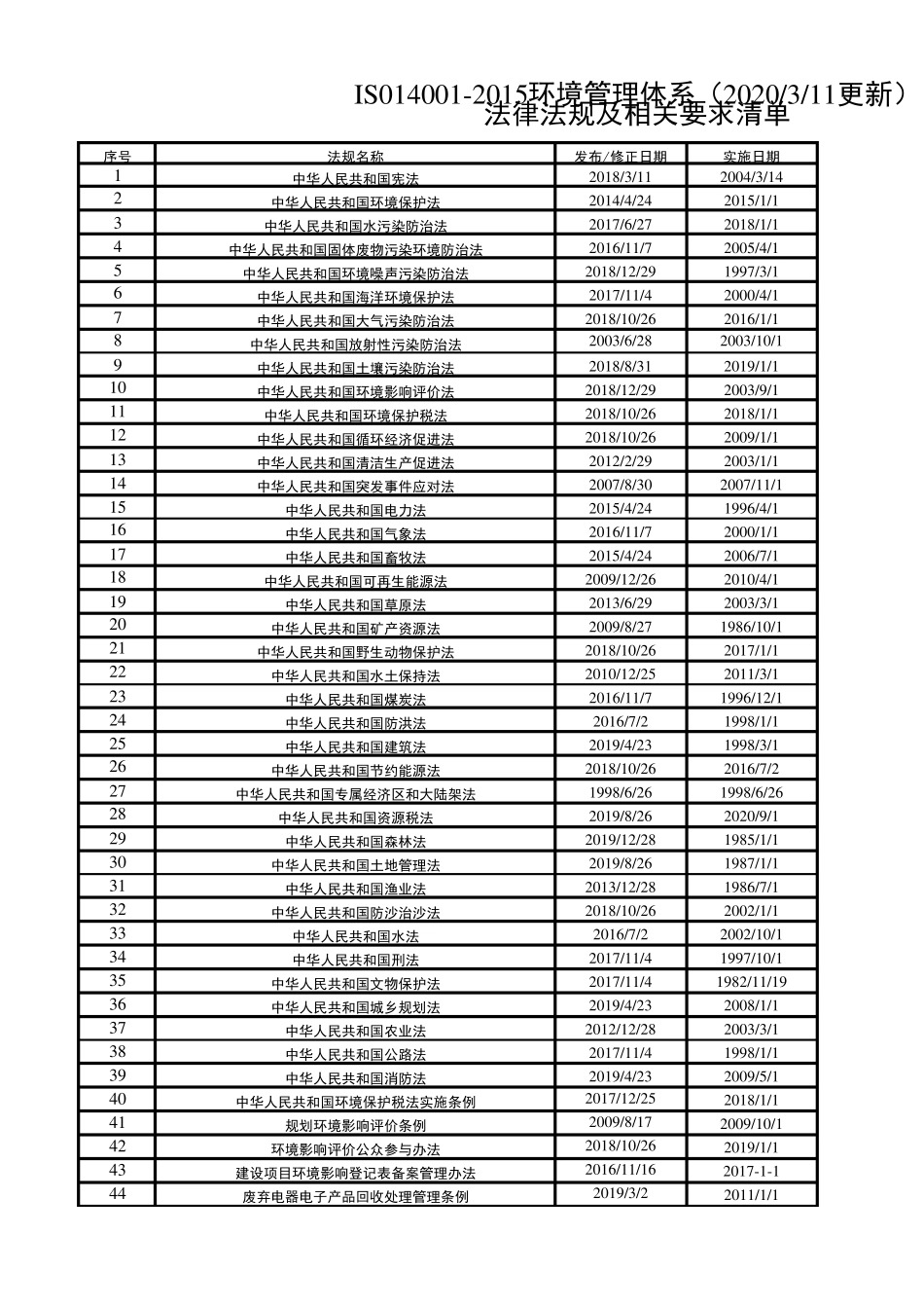
序号法规名称发布/修正日期实施日期1中华人民共和国宪法2018/3/112004/3/142中华人民共和国环境保护法2014/4/242015/1/13中华人民共和国水污染防治法2017/6/272018/1/14中华人民共和国固体废物污染环境防治法2016/11/72005/4/15中华人民共和国环境噪声污染防治法2018/12/291997/3/16中华人民共和国海洋环境保护法2017/11/42000/4/17中华人民共和国大气污染防治法2018/10/262016/1/18中华人民共和国放射性污染防治法2003/6/282003/10/19中华人民共和国土壤污染防治法2018/8/312019/1/110中华人民共和国环境影响评价法2018/12/292003/9/111中华人民共和国环境保护税法2018/10/262018/1/112中华人民共和国循环经济促进法2018/10/262009/1/113中华人民共和国清洁生产促进法2012/2/292003/1/114中华人民共和国突发事件应对法2007/8/302007/11/115中华人民共和国电力法2015/4/241996/4/116中华人民共和国气象法2016/11/72000/1/117中华人民共和国畜牧法2015/4/242006/7/118中华人民共和国可再生能源法2009/12/262010/4/119中华人民共和国草原法2013/6/292003/3/120中华人民共和国矿产资源法2009/8/271986/10/121中华人民共和国野生动物保护法2018/10/262017/1/122中华人民共和国水土保持法2010/12/252011/3/123中华人民共和国煤炭法2016/11/71996/12/124中华人民共和国防洪法2016/7/21998/1/125中华人民共和国建筑法2019/4/231998/3/126中华人民共和国节约能源法2018/10/262016/7/227中华人民共和国专属经济区和大陆架法1998/6/261998/6/2628中华人民共和国资源税法2019/8/262020/9/129中华人民共和国森林法2019/12/281985/1/130中华人民共和国土地管理法2019/8/261987/1/131中华人民共和国渔业法2013/12/281986/7/132中华人民共和国防沙治沙法2018/10/262002/1/133中华人民共和国水法2016/7/22002/10/134中华人民共和国刑法2017/11/41997/10/135中华人民共和国文物保护法2017/11/41982/11/1936中华人民共和国城乡规划法2019/4/232008/1/137中华人民共和国农业法2012/12/282003/3/138中华人民共和国公路法2017/11/41998/1/139中华人民共和国消防法2019/4/232009/5/140中华人民共和国环境保护税法实施条例2017/12/252018/1/141规划环境影响评价条例2009/8/172009/10/142环境影响评价公众参与办法2018/10/262019/1/143建设项目环境影响登记表备案管理办法2016/11/162017-1-144废弃电器电子产品回收处理管理条例2019/3/22011/1/1IS 014001-2015环境管理体系...

1、当您付费下载文档后,您只拥有了使用权限,并不意味着购买了版权,文档只能用于自身使用,不得用于其他商业用途(如 [转卖]进行直接盈利或[编辑后售卖]进行间接盈利)。
2、本站所有内容均由合作方或网友上传,本站不对文档的完整性、权威性及其观点立场正确性做任何保证或承诺!文档内容仅供研究参考,付费前请自行鉴别。
3、如文档内容存在违规,或者侵犯商业秘密、侵犯著作权等,请点击“违规举报”。

碎片内容

2020年ISO140012015环境管理体系法律法规及相关要求清单

您可能关注的文档

小辰+ 关注
实名认证
内容提供者

出售各种文档和资料

确认删除?
VIP
微信客服
  • 扫码咨询
会员Q群
  • 会员专属群点击这里加入QQ群
客服邮箱
回到顶部