电脑桌面
添加小米粒文库到电脑桌面
安装后可以在桌面快捷访问

欠驱动完整系统解耦算法的滑模控制VIP免费

欠驱动完整系统解耦算法的滑模控制_第1页
1/10
欠驱动完整系统解耦算法的滑模控制_第2页
2/10
欠驱动完整系统解耦算法的滑模控制_第3页
3/10
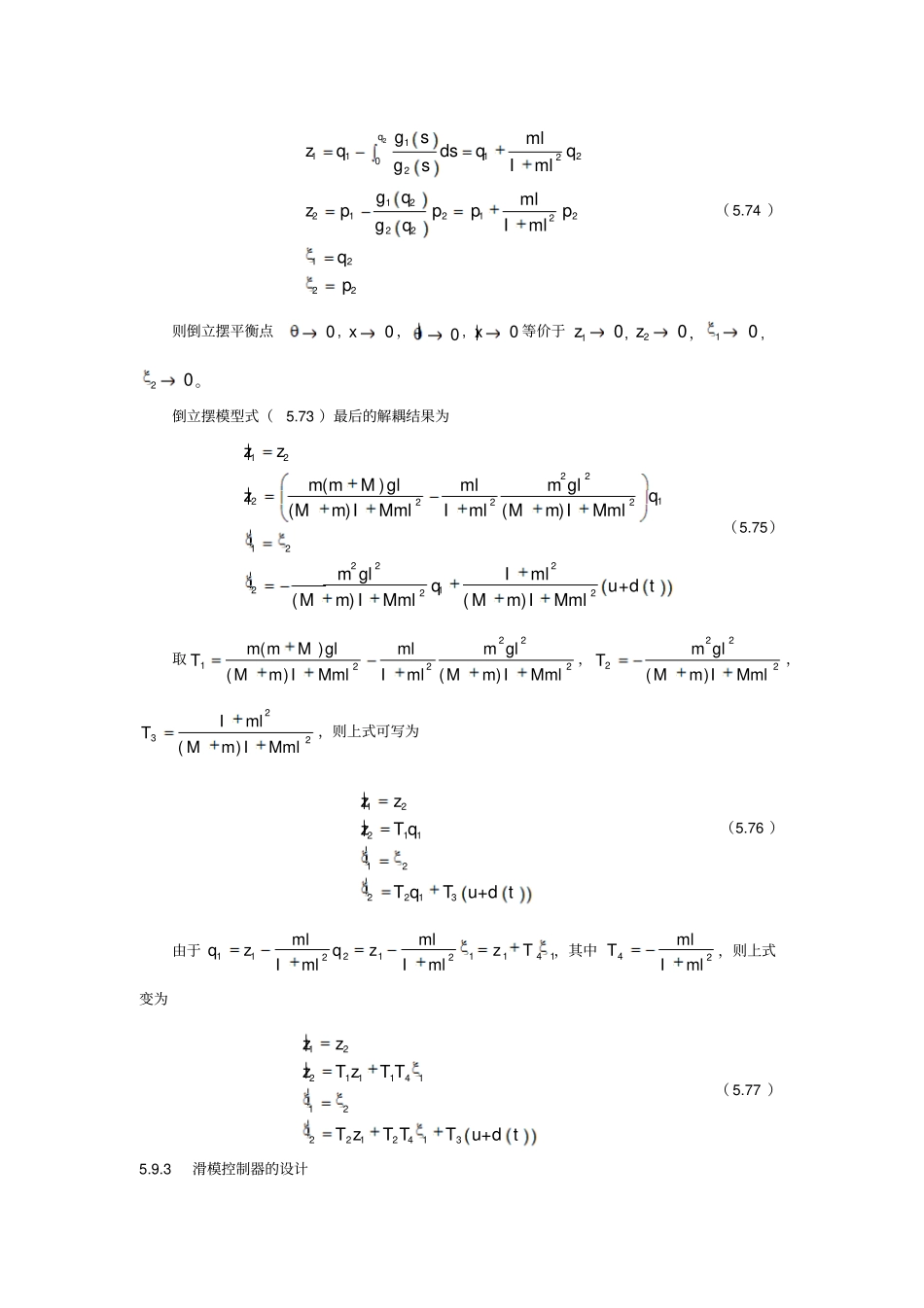
5.9 基于欠驱动系统解耦算法的滑模控制桥式吊车、Pendulum Robot、 Acrobat Robot、倒立摆系统和VTOL飞行器都是典型的欠驱动系统。下面介绍一种欠驱动系统解耦算法,可解决欠驱动系统控制输入的解耦问题,从而可以设计滑模控制算法。5.9.1 欠驱动系统解耦算法对于如下耦合欠驱动系统111112222222,,qppfq pgquqppfq pgqu(5.70)其中12qqq,12ppp。针对如式( 5.70 )所示的耦合欠驱动系统,R.O.Saber提出一种通用的解耦算法,该算法很好地解决了结构如式(5.70 )的欠驱动系统耦合问题[12,13] 。 矚慫润厲钐瘗睞枥庑赖。解耦算法如下[12] :21110212212221222q gszqdsgsgqzppgqqp( 5.71 )则解耦后,耦合系统式(5.70 )变为1211212222122222,zzggzfpfggfq pgqu( 5.72 )对解耦算法分析如下:由于12zz ,解耦算法的实质为在2z 中消除 u ,即112122221111222221112222 =ggzpppggggfg upfg uggggfpfgg5.9.2 倒立摆动力学系统的解耦对于典型一级倒立摆,小车质量为M ,摆的质量为 m,小车位置为x ,摆的角度为。l 为摆长 L 的一半, u 为控制输入。在平衡点附近,有sin,cos1 ,线性化后的单级倒立摆方程为聞創沟燴鐺險爱氇谴净。2222222()()()()()m mM glmlud tMm IMmlMm IMmlm glImlxud tMm IMmlMm IMml(5.73) 其中213Iml为摆杆围绕其重心的转动惯量,d t 为控制扰动。控制的目标是通过给小车底座施加一个力u ,使小车停留在零位置,并使杆不倒下, 即闭环控制的平衡点为0 ,0 ,0x和0x。为了采用滑模控制,需要对式 (5.73)进行解耦。 设1q,2qx ,则1p,2px 。取112(),()m mMglfq pqMm IMml,122()mlgqMm IMml,22212,()m glfq pqMm IMml,2222()ImlgqMm IMml,则21222222()()mlgqmlMm IMmlImlgqImlMm IMml。采用标准解耦算法式(5.71 ),则解耦算法为21111220212212122221222q gsmlzqdsqqgsImlgqmlzppppgqImlqp( 5.74 )则倒立摆平衡点0 ,0x,0 ,0x等价于10z,20z,10 ,20。倒立摆模型式(5.73 )最后的解耦结果为122221222122222122()()()+()()zzm mM glmlm glzqMm IMmlImlMm IMmlm glImlqu d tMm IMmlMm IMml(5.75)取221222()T()()m mMglmlm glMm IMmlImlMm IMml,2222T()m glMm IMml,232T()ImlMm IMml,则上式可写为12211122213TTT+zzzqqu d t(5.76 )由于1121114122TmlmlqzqzzImlIml,其中42TmlIml,则上式变为1221 1141122212413TT...

1、当您付费下载文档后,您只拥有了使用权限,并不意味着购买了版权,文档只能用于自身使用,不得用于其他商业用途(如 [转卖]进行直接盈利或[编辑后售卖]进行间接盈利)。
2、本站所有内容均由合作方或网友上传,本站不对文档的完整性、权威性及其观点立场正确性做任何保证或承诺!文档内容仅供研究参考,付费前请自行鉴别。
3、如文档内容存在违规,或者侵犯商业秘密、侵犯著作权等,请点击“违规举报”。

碎片内容

欠驱动完整系统解耦算法的滑模控制

您可能关注的文档

确认删除?
VIP
微信客服
  • 扫码咨询
会员Q群
  • 会员专属群点击这里加入QQ群
客服邮箱
回到顶部