电脑桌面
添加小米粒文库到电脑桌面
安装后可以在桌面快捷访问

上海交通大学金融工程学吴冲锋远期利率与利率期货

上海交通大学金融工程学吴冲锋远期利率与利率期货_第1页
1/48
上海交通大学金融工程学吴冲锋远期利率与利率期货_第2页
2/48
上海交通大学金融工程学吴冲锋远期利率与利率期货_第3页
3/48
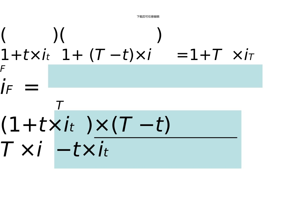
下载后可任意编辑 金融工程学第6章 远期利率与利率期货开课单位: 金融工程课程组主讲: 吴冲锋教授等下载后可任意编辑 6.1远期利率的计算9.5%6个月1年即期?9.785%9.875%下载后可任意编辑 ( )( )1+t×it 1+ (T −t)×i =1+T ×iTFiF =T(1+t×it )×(T −t)T ×i −t×it下载后可任意编辑 6.2远期到远期的贷款的损益分析下载后可任意编辑 贷 9546549.5%借 954654以 9.875%6个月12个月半年收回本息 100万到期需还 1048926贷 100万9.785%6个月1年收回本息 1048926可是最大的问题是占用资本金和信贷指标下载后可任意编辑 假定银行能够从银行间市场上以10%的利率借得资金, 以 11%的利率贷给客户, 以15%的利率支付其资本金; 并且假定银行被要求持有相当于其贷款总量8%的资本金; 资产负债表和损益表如下: 下载后可任意编辑 资产负债表资产负债和权益客户贷款( 6个月) 1 000 000 银行间存款( 6个月) 920 00080 000资本金总资产1 000 000 总资金1 000 000下载后可任意编辑 损益表收入费用客户贷款 55 000 银行间存款资本金46 0006 000总收入 55 000 总费用52 000净利润3 000英镑, 资本回报率7.5%下载后可任意编辑 假如银行放出6个月的远期对远期贷款, 在头6个月内, 资产负债表如下: 资产负债表( 头6个月) 资产负债和权益银行间贷款( 6个月) 1000000 银行间存款( 12个月) 9 0资本金1000000 总资金800001000000总资产下载后可任意编辑 资产负债表( 后6个月) 资产负债和权益客户贷款( 6个月) 1000000 银行间存款( 12个月) 9 0资本金80000总资产1000000 总资金1000000下载后可任意编辑 最终损益表如下: 损益帐户( 12个月) 收入费用银行间贷款客户贷款总收入50 000 银行间存款55 000 资本金92 00012 000105 000 总费用104 000下载后可任意编辑 净利润 1 000英镑, 资本回报率仅为1.25%, 是上述贷款后回报率的1/6。对银行盈利的最大损害是由资产负债表上对资本充分的要求而引起的。假如找到将远期对远期贷款从资产负债表上移走的方法, 就会削除对资本金的要求, 恢复银行的盈利能力, 以下的远期利率合约就能做到这一点。下载后可任意编辑 6.3远期利率协议( FRA) 一份远期利率协议是交易双方或者为规避未来利率波动风险, 或者出于在未来利率波动上进行投机的目的而约定的一份协议。下载后可任意编辑 FRA: 是在固定利率下的远期对远期货款, 只...

1、当您付费下载文档后,您只拥有了使用权限,并不意味着购买了版权,文档只能用于自身使用,不得用于其他商业用途(如 [转卖]进行直接盈利或[编辑后售卖]进行间接盈利)。
2、本站所有内容均由合作方或网友上传,本站不对文档的完整性、权威性及其观点立场正确性做任何保证或承诺!文档内容仅供研究参考,付费前请自行鉴别。
3、如文档内容存在违规,或者侵犯商业秘密、侵犯著作权等,请点击“违规举报”。

碎片内容

上海交通大学金融工程学吴冲锋远期利率与利率期货

您可能关注的文档

确认删除?
VIP
微信客服
  • 扫码咨询
会员Q群
  • 会员专属群点击这里加入QQ群
客服邮箱
回到顶部