电脑桌面
添加小米粒文库到电脑桌面
安装后可以在桌面快捷访问

用点差法解圆锥曲线的中点弦问题

用点差法解圆锥曲线的中点弦问题_第1页
1/5
用点差法解圆锥曲线的中点弦问题_第2页
2/5
用点差法解圆锥曲线的中点弦问题_第3页
3/5
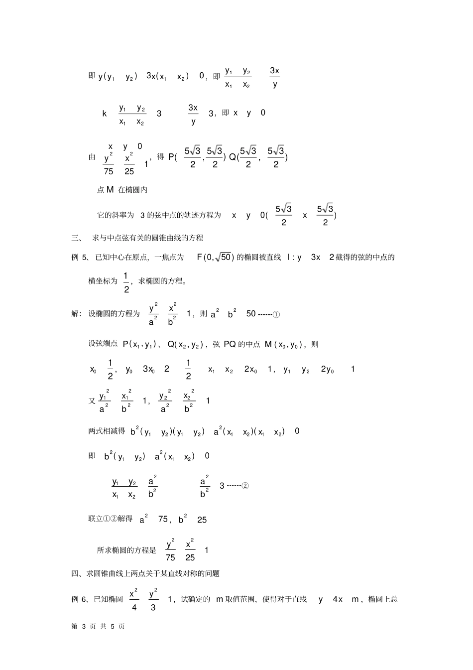
第 1 页 共 5 页用“点差法”解圆锥曲线的中点弦问题与圆锥曲线的弦的中点有关的问题,我们称之为圆锥曲线的中点弦问题。解圆锥曲线的中点弦问题的一般方法是:联立直线和圆锥曲线的方程,借助于一元二次方程的根的判别式、根与系数的关系、中点坐标公式求解,但运算量较大。若设直线与圆锥曲线的交点(弦的端点)坐标为),(11 yxA、),(22 yxB,将这两点代入圆锥曲线的方程并对所得两式作差,得到一个与弦 AB 的中点和斜率有关的式子,可以大大减少运算量。我们称这种代点作差的方法为“点差法” 。下面就如何用点差法计算举几个例子供大家参考。一、 求以定点为中点的弦所在直线的方程例 1、过椭圆141622yx内一点)1,2(M引一条弦,使弦被M 点平分,求这条弦所在直线的方程。解: 设直线与椭圆的交点为),(11 yxA、),(22 yxB)1,2(M为 AB 的中点421xx221yy又 A 、 B 两点在椭圆上,则1642121yx,1642222yx两式相减得0)(4)(22212221yyxx于是0))((4))((21212121yyyyxxxx21244)(421212121yyxxxxyy即21ABk,故所求直线的方程为)2(211xy,即042yx。例 2、已知双曲线1222yx,经过点)1,1(M能否作一条直线l ,使 l 与双曲线交于A 、B ,且点 M 是线段 AB 的中点。若存在这样的直线l ,求出它的方程,若不存在,说明理由。解: 设存在被点 M 平分的弦 AB ,且),(11 yxA、),(22 yxB则221xx,221yy122121yx,122222yx两式相减,得0))((21))((21212121yyyyxxxx22121xxyyk AB故直线)1(21:xyAB第 2 页 共 5 页由12)1(2122yxxy消去 y ,得03422xx08324)4(2这说明直线 AB 与双曲线不相交,故被点M 平分的弦不存在,即不存在这样的直线l 。策略: 本题如果忽视对判别式的考察,将得出错误的结果,请务必小心。由此题可看到中点弦问题中判断点的M 位置非常重要。 (1)若中点 M 在圆锥曲线内,则被点M 平分的弦一般存在;(2)若中点 M 在圆锥曲线外,则被点M 平分的弦可能不存在。二、 求弦的中点坐标和中点轨迹方程例 3、已知椭圆1257522xy的一条弦的斜率为3,它与直线21x的交点恰为这条弦的中点M ,求点 M 的坐标。解: 设弦端点),(11 yxP、),(22 yxQ,弦 PQ 的中点),(00 yxM,则210x12021xxx,0212yyy又125752121xy,125752222xy两式相减得0))((75))((2521212121xxxxyyyy即0)(3)(221210xxyyy0212123yxxyy32121xxyyk3230y,即210y点 M 的坐标为)21,21(。例 4、已知椭圆1257522xy, 求它的...

1、当您付费下载文档后,您只拥有了使用权限,并不意味着购买了版权,文档只能用于自身使用,不得用于其他商业用途(如 [转卖]进行直接盈利或[编辑后售卖]进行间接盈利)。
2、本站所有内容均由合作方或网友上传,本站不对文档的完整性、权威性及其观点立场正确性做任何保证或承诺!文档内容仅供研究参考,付费前请自行鉴别。
3、如文档内容存在违规,或者侵犯商业秘密、侵犯著作权等,请点击“违规举报”。

碎片内容

用点差法解圆锥曲线的中点弦问题

文库响当当+ 关注
实名认证
内容提供者

该用户很懒,什么也没介绍

确认删除?
VIP
微信客服
  • 扫码咨询
会员Q群
  • 会员专属群点击这里加入QQ群
客服邮箱
回到顶部