电脑桌面
添加小米粒文库到电脑桌面
安装后可以在桌面快捷访问

曹洁承林等307名符合北京市二级建造师初始注册条件的人

曹洁承林等307名符合北京市二级建造师初始注册条件的人_第1页
1/7
曹洁承林等307名符合北京市二级建造师初始注册条件的人_第2页
2/7
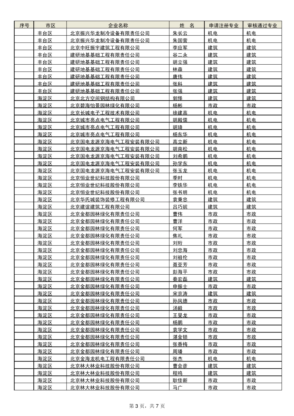
曹洁承林等307名符合北京市二级建造师初始注册条件的人_第3页
3/7
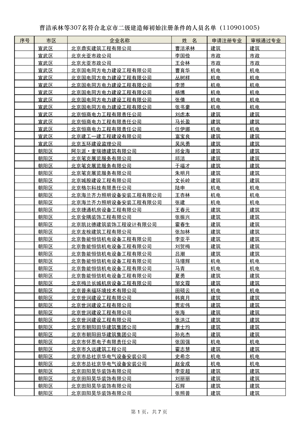
序号 市区企业名称姓 名申请注册专业审核通过专业 1 宣武区 北京鼎实建筑工程有限公司 曹洁承林 建筑 建筑 2 宣武区 北京光亚市政公司 李国俭 市政 市政 3 宣武区 北京光亚市政公司 王会林 市政 市政 4 宣武区 北京国电同方电力建设工程有限公司 曹育华 机电 机电 5 宣武区 北京国电同方电力建设工程有限公司 丛树样 机电 机电 6 宣武区 北京国电同方电力建设工程有限公司 李赟 机电 机电 7 宣武区 北京国电同方电力建设工程有限公司 杨博 机电 机电 8 宣武区 北京国电同方电力建设工程有限公司 张倩 机电 机电 9 宣武区 北京国电同方电力建设工程有限公司 张书豪 机电 机电 10 宣武区 北京恒商电力工程有限责任公司 刘虑本 建筑 建筑 11 宣武区 北京恒商电力工程有限责任公司 马长盈 建筑 建筑 12 宣武区 北京恒商电力工程有限责任公司 任伊娜 机电 机电 13 宣武区 北京建工一建工程建设有限公司 富宝良 建筑 建筑 14 宣武区 北京五环建设监理公司 吴凤勇 建筑 建筑 15 朝阳区 阿尔派·麦瑞德建筑有限公司 邱金海 建筑 建筑 16 朝阳区 北京笔克展览服务有限公司 邱洁 建筑 建筑 17 朝阳区 北京笔克展览服务有限公司 于福才 建筑 建筑 18 朝阳区 北京笔克展览服务有限公司 朱明月 建筑 建筑 19 朝阳区 北京城股建设工程有限公司 文长岭 建筑 建筑 20 朝阳区 北京格尔科技有限责任公司 陆申 机电 机电 21 朝阳区 北京海兰齐力照明设备安装工程有限公司 王杏林 机电 机电 22 朝阳区 北京海兰齐力照明设备安装工程有限公司 张建 机电 机电 23 朝阳区 北京捷通机房设备工程有限公司 王春元 建筑 建筑 24 朝阳区 北京金隅装饰工程有限公司 张振兴 建筑 建筑 25 朝阳区 北京凯比德建筑装饰工程设计有限公司 霍春生 建筑 建筑 26 朝阳区 北京龙桉建筑工程有限公司 张加林 建筑 建筑 27 朝阳区 北京鲁能恒信机电设备工程有限公司 李亚平 建筑 建筑 28 朝阳区 北京鲁能恒信机电设备工程有限公司 刘贺梅 建筑 建筑 29 朝阳区 北京鲁能恒信机电设备工程有限公司 吕潮 建筑 建筑 30 朝阳区 北京鲁能恒信机电设备工程有限公司 马璟辉 机电 机电 31 朝阳区 北京鲁能恒信机电设备工程有限公司 马青 机电 机电 32 朝阳区 北京鲁能恒信机电设备工程有限公司 夏...

1、当您付费下载文档后,您只拥有了使用权限,并不意味着购买了版权,文档只能用于自身使用,不得用于其他商业用途(如 [转卖]进行直接盈利或[编辑后售卖]进行间接盈利)。
2、本站所有内容均由合作方或网友上传,本站不对文档的完整性、权威性及其观点立场正确性做任何保证或承诺!文档内容仅供研究参考,付费前请自行鉴别。
3、如文档内容存在违规,或者侵犯商业秘密、侵犯著作权等,请点击“违规举报”。

碎片内容

曹洁承林等307名符合北京市二级建造师初始注册条件的人

确认删除?
VIP
微信客服
  • 扫码咨询
会员Q群
  • 会员专属群点击这里加入QQ群
客服邮箱
回到顶部