电脑桌面
添加小米粒文库到电脑桌面
安装后可以在桌面快捷访问

《算法导论》读书笔记附录A习题解答

《算法导论》读书笔记附录A习题解答_第1页
1/6
《算法导论》读书笔记附录A习题解答_第2页
2/6
《算法导论》读书笔记附录A习题解答_第3页
3/6
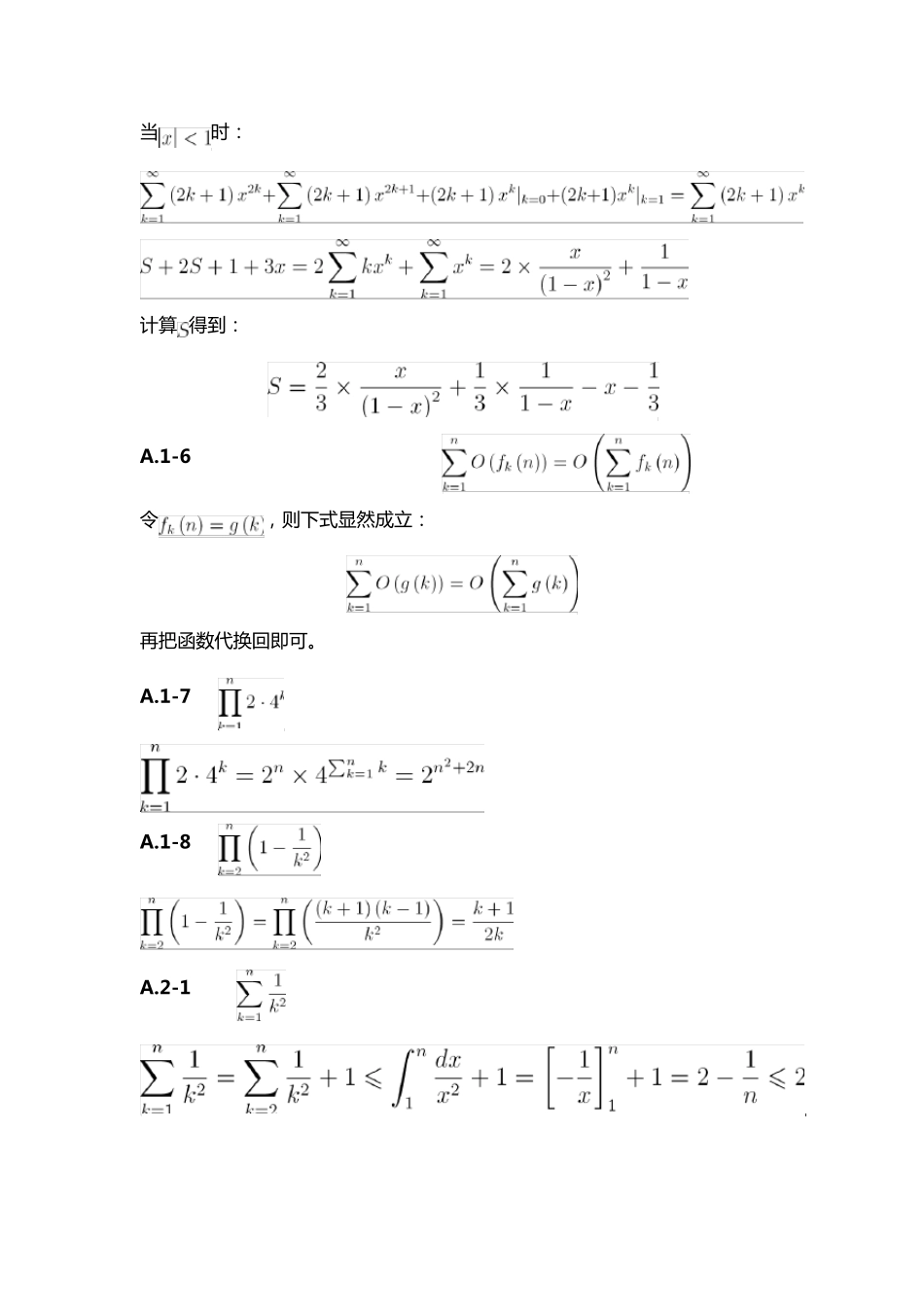
A.1-1 求的简化公式。 利 用 等 差 级 数 求 和 公 式 和 级 数 线 性 性 质 : A.1-2 利用调和级数性质证明。 利 用 调 和 级 数 性 质 : A.1-3 对,证明。 对 无 穷 递 减 几 何 级 数 式 两 边 求 导 , 再 乘 以: 对 该 式 再 进 行 同 上操作得到: A.1-4 求。 A.1-5 求的值。 当时求 得 当时 : 计 算得 到 : A.1-6 利用求和公式的线性特征证明。 令, 则 下 式 显 然 成 立 : 再 把 函 数 代 换 回 即 可 。 A.1-7 求的值。 A.1-8 求的值。 A.2-1 证明有常量上界。 A.2-2 求和的渐近上界。 故 渐 近 上 界 是 A.2-3 通过分割求和证明第 个调和数是。 故 取 得 下 界 A.2-4 通过积分求的近似值。 A.2-5 题略。 为 了 保 证 被 积 函 数 在 积 分 域 上 都 连 续 。 思考题 A-1 求和的界 求下列和式的渐近确界。假设,都是常量。 a) , 得 到 确 界 为 b) 根 据 此 式 得 到 上界 : 故 得 到 下 界 : 故 据 此 得 到 确 界 c) 故 得 到 上 界 : 故 得 到 下界: 因此得 到 确界

1、当您付费下载文档后,您只拥有了使用权限,并不意味着购买了版权,文档只能用于自身使用,不得用于其他商业用途(如 [转卖]进行直接盈利或[编辑后售卖]进行间接盈利)。
2、本站所有内容均由合作方或网友上传,本站不对文档的完整性、权威性及其观点立场正确性做任何保证或承诺!文档内容仅供研究参考,付费前请自行鉴别。
3、如文档内容存在违规,或者侵犯商业秘密、侵犯著作权等,请点击“违规举报”。

碎片内容

《算法导论》读书笔记附录A习题解答

确认删除?
VIP
微信客服
  • 扫码咨询
会员Q群
  • 会员专属群点击这里加入QQ群
客服邮箱
回到顶部