电脑桌面
添加小米粒文库到电脑桌面
安装后可以在桌面快捷访问

不定积分换元法例题

不定积分换元法例题_第1页
1/10
不定积分换元法例题_第2页
2/10
不定积分换元法例题_第3页
3/10
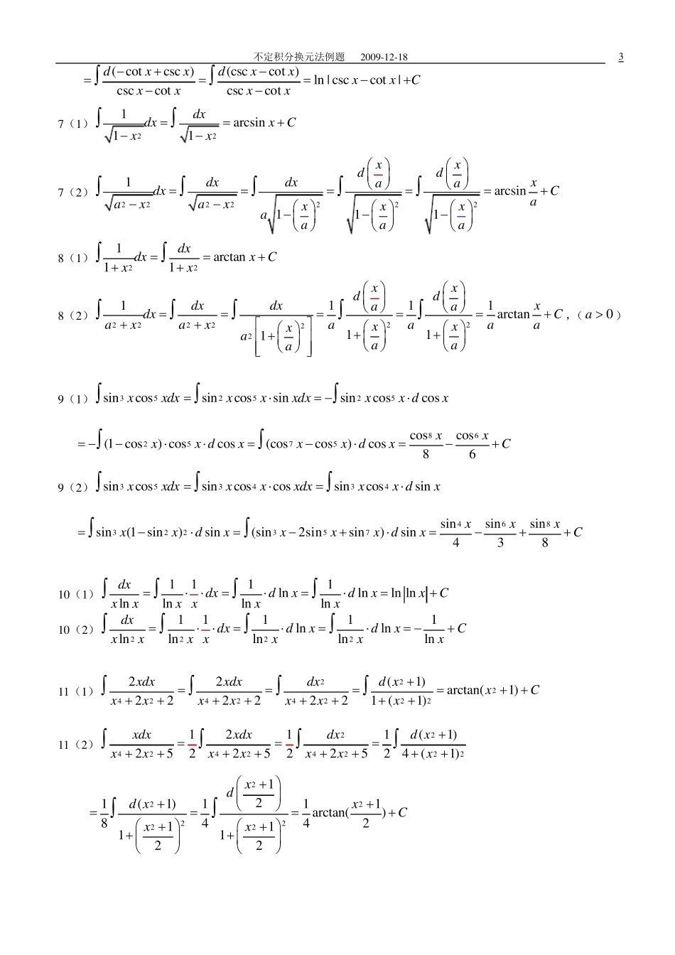
不定积分换元法例题 2009-12-18 1 【不定积分的第一类换元法】 已知( )( )f u duF uC 求( )( ( )) '( )( ( ))( )g x dxfxx dxfx dx 【凑微分】 ( )( )f u duF uC 【做变换,令( )ux,再积分】 ( ( ))FxC 【变量还原,( )ux】 【求不定积分( )g x dx的第一换元法的具体步骤如下:】 (1)变换被积函数的积分形式:( )( ( )) '( )dxg xfxx dx (2)凑微分:( )( ( ))( (')))(( )xg xdxdxdxfxfx (3)作变量代换( )ux得:( )( ( )) '( )()( )( )g x dxfxxxxdxfd( ) uf u d  (4)利用基本积分公式( )( )f u duF uC求出原函数: ( )( ( )) '( )( ( ))( )g x dxfxx dxfx dx( )( )duuCf uF (5)将( )ux代入上面的结果,回到原来的积分变量x 得: ( )( ( )) '( )( ( ))( )g x dxfxx dxfx dx( )( )f u duF uC( ( ))FxC 【注】熟悉上述步骤后,也可以不引入中间变量( )ux,省略(3)(4)步骤,这与复合函数的求导法则类似。 __________________________________________________________________________________________ 【第一换元法例题】 1、9999(57)(57)(5711(57)(57)55)(57)dxdxdxdxxxxx 110091(57)(57)(57)10111 (57)5550dCxxxxC 【注】1(57)'5,(57)5,(57)5xdxdxdxdx 2、1lnlnlnlndxdxxxdxxxx 221 (l1lnln(ln )2n )2xxxdCxC 【注】111(ln )',(ln ),(ln )xdxdxdxdxxxx 3(1)sintancoscosiscoscosncoscosxdxdxxdxdxxdxxxxx cosln |cos|cln |cos|osxxdCxCx    不定积分换元法例题 2009-12-18 2 【注】(cos )'sin ,(cos )sin,sin(cos )xxdxxdxxdxdx    3(2)coscoscotsinsinsinsinxdxxxdxdxdxxxx sinln |siln |sin|n|sinxxdCxCx 【注】(sin )'cos ,(sin )cos,cos(sin )xxdxxdxxdxdx 4(1)1()11ddxaxaxadxxax ln |1(|)ln ||dCaxaxaxaxC...

1、当您付费下载文档后,您只拥有了使用权限,并不意味着购买了版权,文档只能用于自身使用,不得用于其他商业用途(如 [转卖]进行直接盈利或[编辑后售卖]进行间接盈利)。
2、本站所有内容均由合作方或网友上传,本站不对文档的完整性、权威性及其观点立场正确性做任何保证或承诺!文档内容仅供研究参考,付费前请自行鉴别。
3、如文档内容存在违规,或者侵犯商业秘密、侵犯著作权等,请点击“违规举报”。

碎片内容

不定积分换元法例题

确认删除?
VIP
微信客服
  • 扫码咨询
会员Q群
  • 会员专属群点击这里加入QQ群
客服邮箱
回到顶部