电脑桌面
添加小米粒文库到电脑桌面
安装后可以在桌面快捷访问

拉普拉斯变换的基本性质

拉普拉斯变换的基本性质_第1页
1/7
拉普拉斯变换的基本性质_第2页
2/7
拉普拉斯变换的基本性质_第3页
3/7
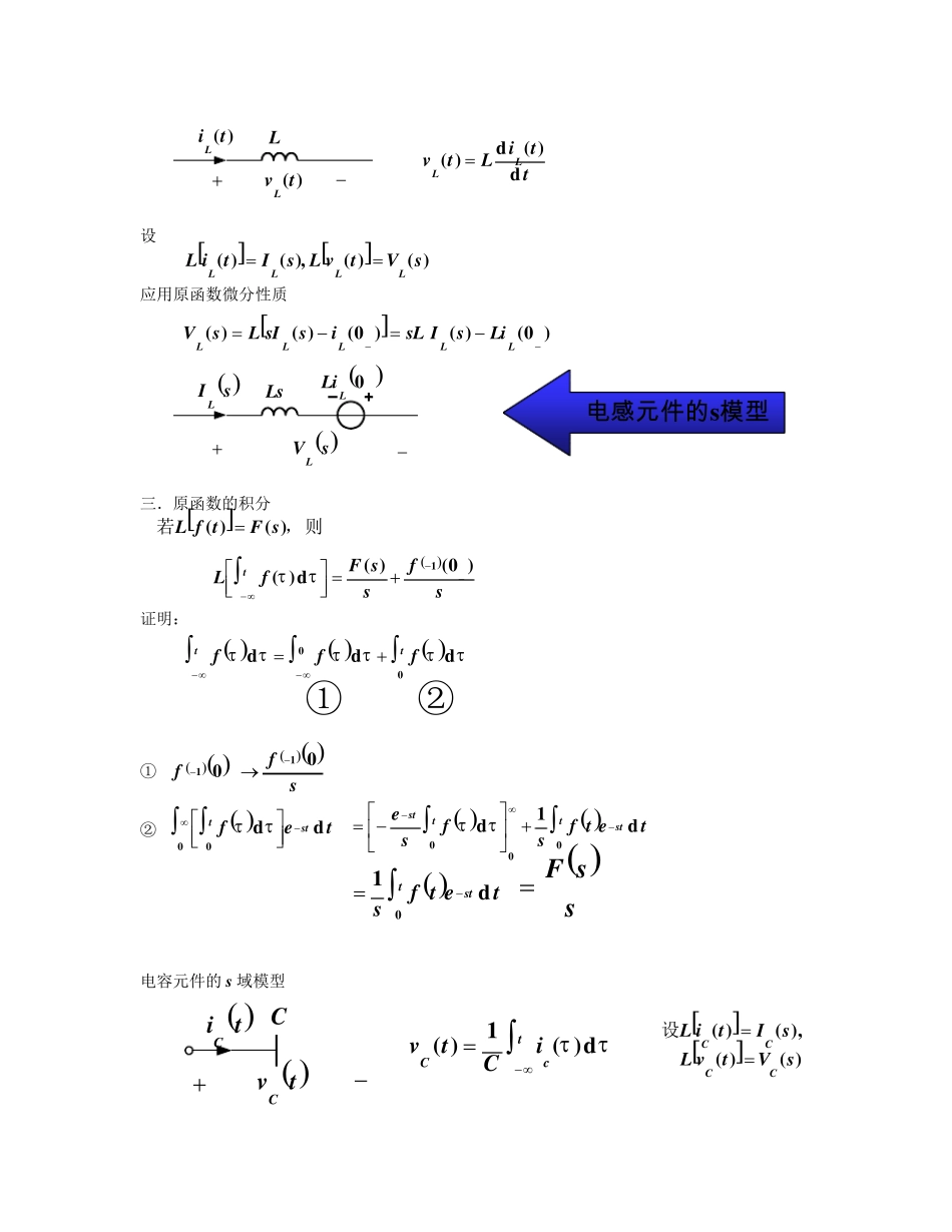
§ 4.3 拉普拉斯变换的基本性质 主要内容 线性;原函数微分;原函数积分;延时(时域平移);s 域平移;尺度变换;初值;终值 卷积;对 s 域微分;对 s 域积分 一.线性 例题: 已知 则 同理 二.原函数微分 证明: 推广: 电感元件的 s 域模型 )()()()( ,),()( ),()( 22112211212211sFKsFKtfKtfKLKKsFtfLsFtfL则为常数,若tjtjeettf21)cos()(seLt1jsjstL1121cos22 ss 22sin stL)0()(d)(d),()(fssFttfLsFtfL则若    )(0 dd000ssFftetsfetftetfststst  )0()0()( )0(0d)(d22fsfsFsffsFsttfL10)(1)0()(d)(dnrrrnnnfssFsttfL 设 应用原函数微分性质 三.原函数的积分 证明: ① ②  ssF 电容元件的s 域模型 )(tiL)(tvLLttiLtvLLd)(d)()()(),()(sVtvLsItiLLLLL)0()()0()()(LLLLLLisIsLissILsV sILLs 0LLi sVL 电 感 元 件的s模型 ,则若)()(sFtfL sfssFfLt)0()(d)(1    ddd00ttfff① ②   01f  sf01  00ddtefstt  tsttsttetfsfse000d1d tsttetfs0d1 tiC tvCCtcCiCtv d)(1)()()( ),()(sVtvLsItiLCCCC设 四.延时(时域平移) 证明: 0)(stesF 五.s 域平移 证明: 六.尺度变换 证明: sissICsVCCC)0()(1)()1()0(1)(1CCvssIsCsC1 01Cvs sIC sVC)0(d)(1)0(10)1(CCCviCiC电 容 元 件的s模型 0)()()( )()(00stesFttuttfLsFtfL,则若 00000d)()()()(tettuttfttuttfLst0d)(0tsttettf,令0tt 代入上式则有,dd,0ttt 000d)()()(0sst eefttuttfL)()( )()(sFetfLsFtfLt,则...

1、当您付费下载文档后,您只拥有了使用权限,并不意味着购买了版权,文档只能用于自身使用,不得用于其他商业用途(如 [转卖]进行直接盈利或[编辑后售卖]进行间接盈利)。
2、本站所有内容均由合作方或网友上传,本站不对文档的完整性、权威性及其观点立场正确性做任何保证或承诺!文档内容仅供研究参考,付费前请自行鉴别。
3、如文档内容存在违规,或者侵犯商业秘密、侵犯著作权等,请点击“违规举报”。

碎片内容

拉普拉斯变换的基本性质

您可能关注的文档

小辰8+ 关注
实名认证
内容提供者

出售各种资料和文档

相关文档

确认删除?
VIP
微信客服
  • 扫码咨询
会员Q群
  • 会员专属群点击这里加入QQ群
客服邮箱
回到顶部