电脑桌面
添加小米粒文库到电脑桌面
安装后可以在桌面快捷访问

OR7-基于近红外光谱法的汽车驾驶员脑氧参数振动响应分析

OR7-基于近红外光谱法的汽车驾驶员脑氧参数振动响应分析_第1页
1/5
OR7-基于近红外光谱法的汽车驾驶员脑氧参数振动响应分析_第2页
2/5
OR7-基于近红外光谱法的汽车驾驶员脑氧参数振动响应分析_第3页
3/5
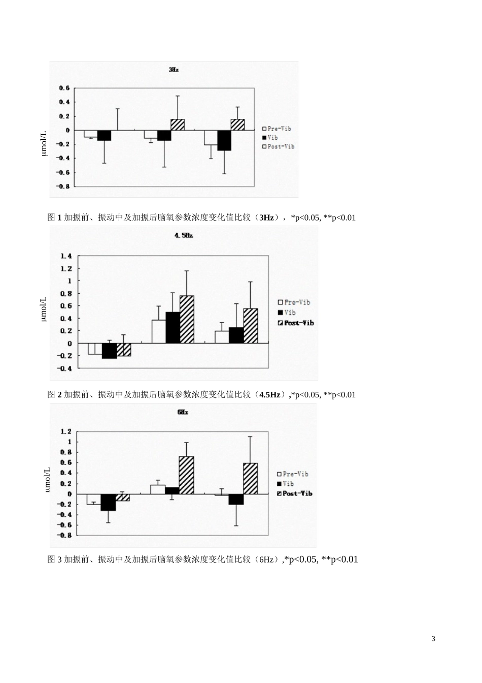
基于近红外光谱法的汽车驾驶员脑氧参数振动响应分析李增勇* 张亮亮 王岩 李建平 刘菲菲 陈国强 (山东大学机械工程学院 250061)摘要:振动是影响驾驶员职业健康的重要因素之一。该文应用近红外光谱法监测驾驶员脑氧信息,评估了三种不同振动频率(3、4.5、6Hz)对 10 名健康驾驶员脑组织氧合状况的影响。结果发现,振动导致脑组织中氧合血红蛋白(HbO2)的含量上升、还原血红蛋白(Hb)含量下降,说明振动过程中脑组织对氧的需求量增加,不同振动频率对脑氧参数的影响不同。本文研究结果初步揭示了驾驶员振动条件下的脑氧动力学变化特性。关键词:生物医学工程学;脑氧;近红外光谱;振动Effect of different vibration frequencies on cerebral oxygenation as assessed by near-infrared spectroscopy in healthy driversLI Zengyong Zhang Liangliang Wang Yan Li Jianping Liu Feifei Chen Guoqiang(School of Mechanical Engineering, Shandong University, Jinan, 250061 P.R. China)AbstractThe objective of this study is to investigate the effects of 3, 4.5 and 6 Hz whole-body vibration (WBV) on changes in cerebral oxygenation oscillation of the pre-frontal cortex region in healthy drivers. Ten healthy men were exposed to three WBV (3, 4.5 and 6 Hz at 0.5 grms in the vertical direction), in a randomized order on separate days. All subjects were required to rest well prior to the experiment. Each day test protocol was as follows: 20 min rest, 20 min of WBV session and 20 min recovery. Cerebral oxygenation signal was monitored from the left frontal lobe using near infrared spectroscopy (NIRS) throughout the entire experiment period. It was found thtat cerebral oxygenation responses increased with vibration at 4.5Hz compared to that without vibration.The results demostrated that the vibration frequency had significant effect on cerebral oxygenation.Keywords: Bioengineering, cerebral oxygenation, near infrared spectroscopy, vibration1 引言随着汽车工业...

1、当您付费下载文档后,您只拥有了使用权限,并不意味着购买了版权,文档只能用于自身使用,不得用于其他商业用途(如 [转卖]进行直接盈利或[编辑后售卖]进行间接盈利)。
2、本站所有内容均由合作方或网友上传,本站不对文档的完整性、权威性及其观点立场正确性做任何保证或承诺!文档内容仅供研究参考,付费前请自行鉴别。
3、如文档内容存在违规,或者侵犯商业秘密、侵犯著作权等,请点击“违规举报”。

碎片内容

OR7-基于近红外光谱法的汽车驾驶员脑氧参数振动响应分析

文章天下+ 关注
实名认证
内容提供者

各种文档应有尽有

确认删除?
VIP
微信客服
  • 扫码咨询
会员Q群
  • 会员专属群点击这里加入QQ群
客服邮箱
回到顶部