电脑桌面
添加小米粒文库到电脑桌面
安装后可以在桌面快捷访问

电动力学知识总结

电动力学知识总结_第1页
1/23
电动力学知识总结_第2页
2/23
电动力学知识总结_第3页
3/23
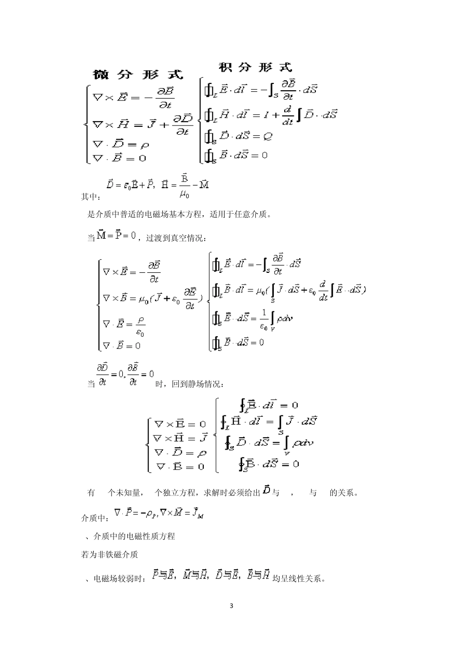
1 第一章 电磁现象的普遍规律 一、主要内容: 电磁场可用两个矢量—电场强度 和磁感应强度 来完全描写,这一章的主要任务是:在实验定律的基础上找出 , 所满足的偏微分方程组—麦克斯韦方程组以及洛仑兹力公式,并讨论介质的电磁性质及电磁场的能量。在电磁学的基础上从实验定律出发运用矢量分析得出电磁场运动的普遍规律;使学生掌握麦克斯韦方程的微分形式及物理意义;同时体会电动力学研究问题的方法,从特殊到一般,由实验定律加假设总结出麦克斯韦方程。完成由普通物理到理论物理的自然过渡。 二、知 识 体 系: 三、内容提要: 1.电磁场的基本实验定律: (1)库仑定律: 2 对个点电荷在空间某点的场强等于各点电荷单独存在时在该点场强的矢量和,即: (2)毕奥——萨伐尔定律(电流决定磁场的实验定律) (3)电磁感应定律 ①生电场为有旋场(又称漩涡场),与静电场本质不同。 ②磁场与它激发的电场间关系是电磁感应定律的微分形式。 (4)电荷守恒的实验定律 , ①反映空间某点与之间的变化关系,非稳恒电流线不闭合。 ② 若空间各点与无关,则为稳恒电流,电流线闭合。 稳恒电流是无源的(流线闭合),,均与无关,它产生的场也与无关。 2、电磁场的普遍规律—麦克斯韦方程 3 其中: 1是介质中普适的电磁场基本方程,适用于任意介质。 2当,过渡到真空情况: 3当时,回到静场情况: 4有12个未知量,6个独立方程,求解时必须给出与,与的关系。 介质中: 3、介质中的电磁性质方程 若为非铁磁介质 1、电磁场较弱时:均呈线性关系。 4 向同性均匀介质: ,, 2、导体中的欧姆定律 在有电源时,电源内部,为非静电力的等效场。 4.洛伦兹力公式 考虑电荷连续分布, 单位体积受的力: 洛伦兹认为变化电磁场上述公式仍然成立,近代物理实验证实了它的正确。 说明:① ② 5.电磁场的边值关系 其它物理量的边值关系: 5 恒定电流: 6、电磁场的能量和能流 能量密度: 能流密度: 三.重点与难点 1.概念:电场强度、磁感应强度、电流密度、极化强度、磁化强度、能流密度。 2.麦克斯韦方程、电荷守恒定律、边值关系、极化强度与极化电荷的关系、磁化强度与磁化电流的关系、应用它们进行计算和证明。 3.电磁场的能量及其传输 第二章 静 电 场 一、主要内容: 应用电磁场基本理论解决最简单的问题:电荷静止或电荷分布不随时间变化,产生的场不随时的静电场问题。 本章研究的...

1、当您付费下载文档后,您只拥有了使用权限,并不意味着购买了版权,文档只能用于自身使用,不得用于其他商业用途(如 [转卖]进行直接盈利或[编辑后售卖]进行间接盈利)。
2、本站所有内容均由合作方或网友上传,本站不对文档的完整性、权威性及其观点立场正确性做任何保证或承诺!文档内容仅供研究参考,付费前请自行鉴别。
3、如文档内容存在违规,或者侵犯商业秘密、侵犯著作权等,请点击“违规举报”。

碎片内容

电动力学知识总结

确认删除?
VIP
微信客服
  • 扫码咨询
会员Q群
  • 会员专属群点击这里加入QQ群
客服邮箱
回到顶部