电脑桌面
添加小米粒文库到电脑桌面
安装后可以在桌面快捷访问

XXXX年全国机场生产统计排名

XXXX年全国机场生产统计排名_第1页
1/7
XXXX年全国机场生产统计排名_第2页
2/7
XXXX年全国机场生产统计排名_第3页
3/7
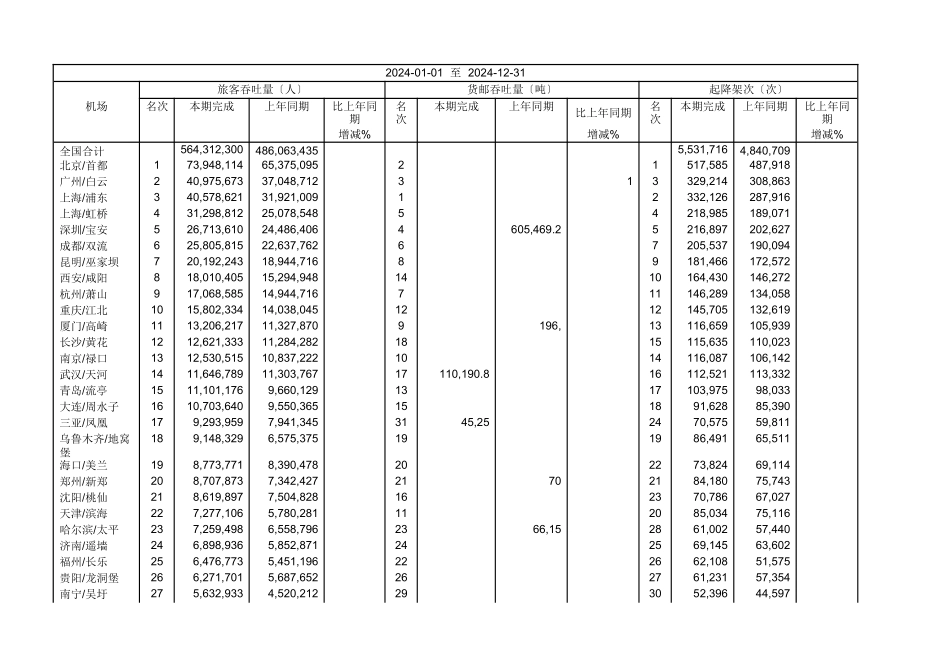
2024 年全国机场生产统计公报中国民航局2024-03-15 一、通航城市和机场 2024 年,我国境内民用航空〔颁证〕机场共有 175 个〔不含香港和澳门,下同〕,其中定期航班通航机场 175 个,定期航班通航城市 172 个。 年内定期航班新通航的城市有内蒙古二连浩特、辽宁鞍山、宁夏固原、河北唐山、新疆博乐、新疆吐鲁番、江苏淮安、西藏阿里、重庆黔江。 二、主要生产指标 2024 年我国机场吞吐量各项指标再创历史新高,其中旅客吞吐量 56,431.2 万人次,比上年增长 16.1%。其中,国内航线完成 51961.8 万人次,比上年增长 15.7% 〔其中内地至香港、澳门和台湾地区航线为 1764.5 万人次,比上年增长 51.3%〕;国际航线完成 4469.4 万人次,比上年增长20.6%。 完成货邮吞吐量 1,129.0 万吨,比上年增长 19.4%。其中,国内航线完成 721.9 万吨,比上年增长 15.5%〔其中内地至香港、澳门和台湾地区航线为 69.1 万吨,比上年增长 53.6%〕;国际航线完成 407.1 万吨,比上年增长 27%。 飞机起降架次 553.2 万架次,比上年增长 14.3%。其中:运输架次为 482.6 万架次,比上年增长 10.6%。起降架次中:国内航线 511.6 万架次,比上年增长 14.4%〔其中内地至香港、澳门和台湾地区航线为 13.6 万架次,比上年增长 21.4%〕;国际航线 41.6 万架次,比上年增长 13.3%。〔注:国内、港澳台、国际航线分类按客货流向进行划分〕 三、旅客吞吐量分布 所有通航机场中,年旅客吞吐量在 100 万人次以上的有 51 个,与上年持平,完成旅客吞吐量占全部机场旅客吞吐量的 95.2%;年旅客吞吐量在 1000万人次以上的为 16 个,比上年增加 2 个,完成旅客吞吐量占全部机场旅客吞吐量的 67.7%;北京、上海和广州三大城市机场旅客吞吐量占全部机场旅客吞吐量的 33.1%。全国各地区旅客吞吐量的分布情况是:华北地区占 17.8%,东北地区占 6.0%,华东地区占 30.6%,中南地区占 24.5%,西南地区占14.2%,西北地区占 4.9%,新疆地区占 2.1%。 四、机场货邮吞吐量分布 各机场中,年货邮吞吐量在 10000 吨以上的有 47 个,比上年增加 2 个,完成货邮吞吐量占全部机场货邮吞吐量的 98.8%;北京、上海和广州三大城市机场货邮吞吐量占全部机场货邮吞吐量的 56.7%。全国各地区货邮吞吐量的分布情况是:华北地区占 16.6%,东北地区占 3.6%,华东地区占45.5%,中南地区占 22.4%,西南地区占 9.0%,西...

1、当您付费下载文档后,您只拥有了使用权限,并不意味着购买了版权,文档只能用于自身使用,不得用于其他商业用途(如 [转卖]进行直接盈利或[编辑后售卖]进行间接盈利)。
2、本站所有内容均由合作方或网友上传,本站不对文档的完整性、权威性及其观点立场正确性做任何保证或承诺!文档内容仅供研究参考,付费前请自行鉴别。
3、如文档内容存在违规,或者侵犯商业秘密、侵犯著作权等,请点击“违规举报”。

碎片内容

XXXX年全国机场生产统计排名

确认删除?
VIP
微信客服
  • 扫码咨询
会员Q群
  • 会员专属群点击这里加入QQ群
客服邮箱
回到顶部